mp-675511-2/Sm2PbS4/anharm

Equation of state

../../_images/fig_bm2559.png

(a) Equation of state

Harmonic properties

../../_images/fig_bandos_pr5234.png

(a) Phonon dispersion with participation ratio and DOS

../../_images/fig_bandos7477.png

(b) Phonon dispersion and DOS

../../_images/fig_thermo5234.png

(c) Thermodynamic properties

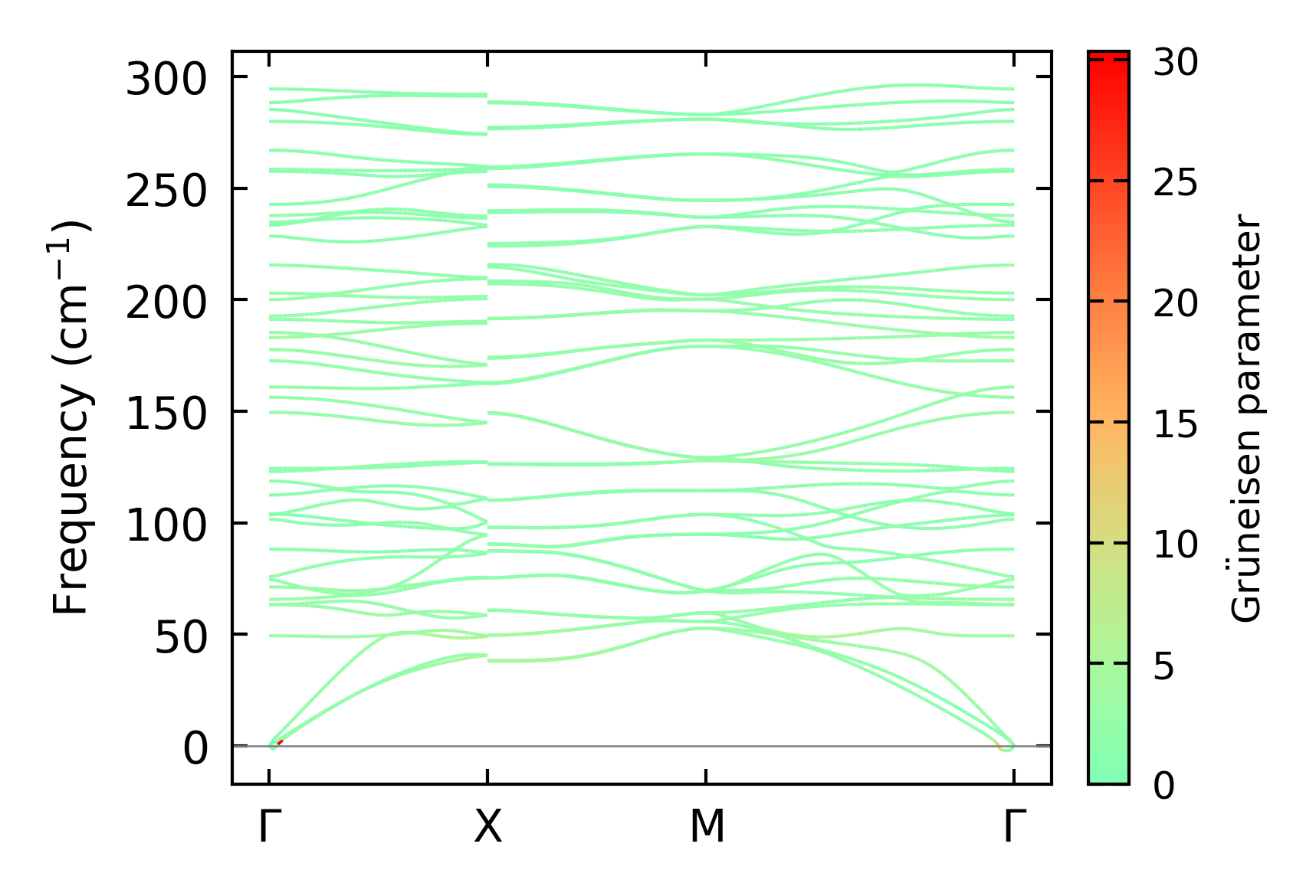
Grüneisen parameters

../../_images/fig_gru_all2183.png

(a) Grüneisen parameters

../../_images/fig_gruneisen2183.png

(b) Phonon dispersion with Grüneisen parameters

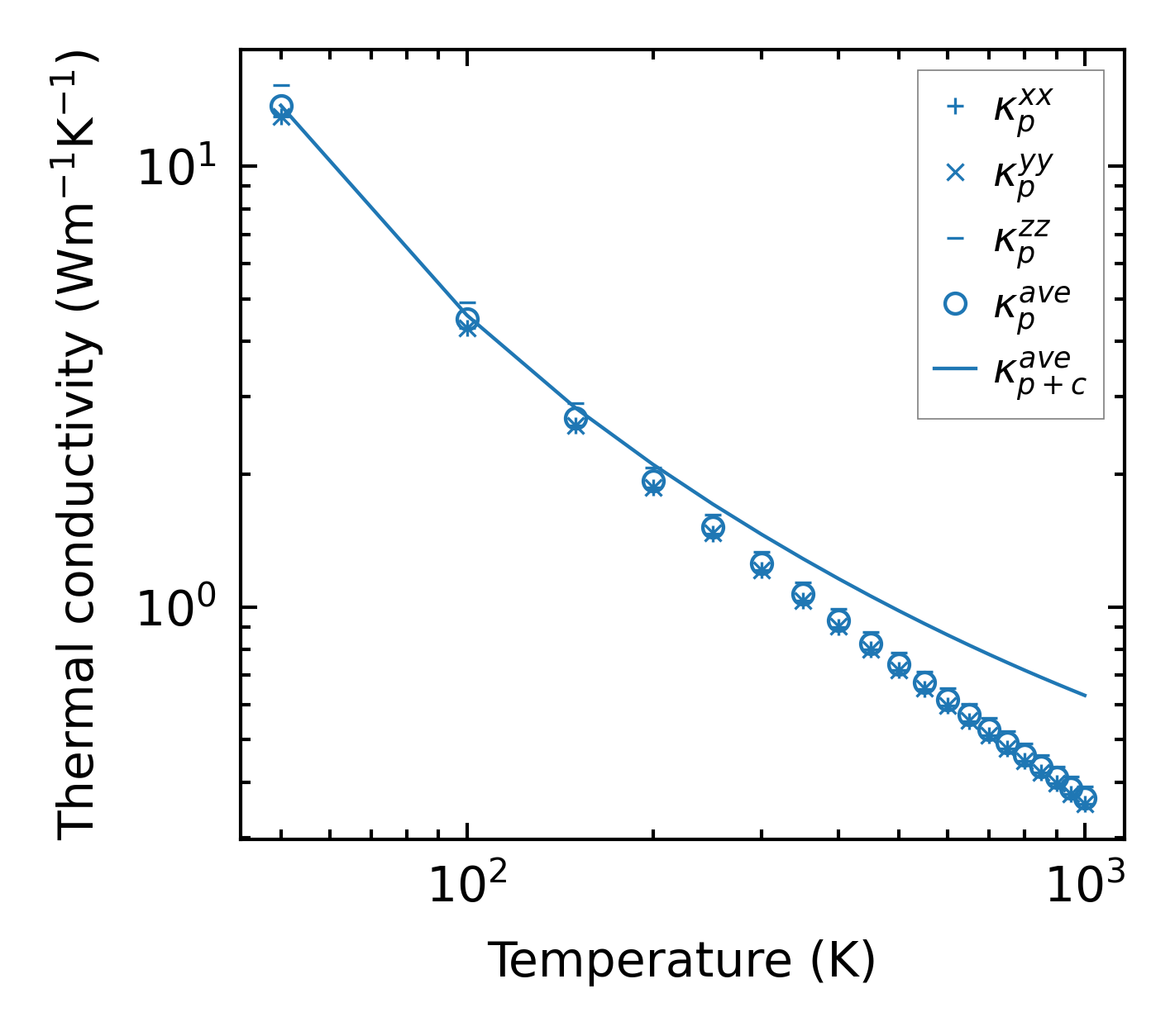
Thermal conductivity

3-phonon (LASSO), supercell 2x2x2 — q-mesh: 10x10x10, supercell: 2x2x2

../../_images/fig_kappa4181.png

(a) Temperature-dependent lattice thermal conductivity

../../_images/fig_kappa_vs_grain_size2214.png

(b) Peierls lattice thermal conductivity w.r.t grain size

Phonon lifetime and scattering rates

../../_images/fig_lifetime2169.png

(a) Phonon lifetime due to phonon-phonon scattering

../../_images/fig_scat_rates2168.png

(b) Phonon scattering rates

Cumulative and spectral thermal conductivity

../../_images/fig_cumu_frequency2169.png

(a) Spectral and cumulative thermal conductivity w.r.t frequency

../../_images/fig_cumu_mfp2169.png

(b) Spectral and cumulative thermal conductivity w.r.t MFP

Force constants

../../_images/fig_fc25039.png

(a) Force constants w.r.t atomic distance

Summary

../../_images/fig_times9419.png

(a) Computation time