mp-675638-2/Pr2PbS4/anharm

Equation of state

../../_images/fig_bm2566.png

(a) Equation of state

Harmonic properties

../../_images/fig_bandos_pr5247.png

(a) Phonon dispersion with participation ratio and DOS

../../_images/fig_bandos7496.png

(b) Phonon dispersion and DOS

../../_images/fig_thermo5247.png

(c) Thermodynamic properties

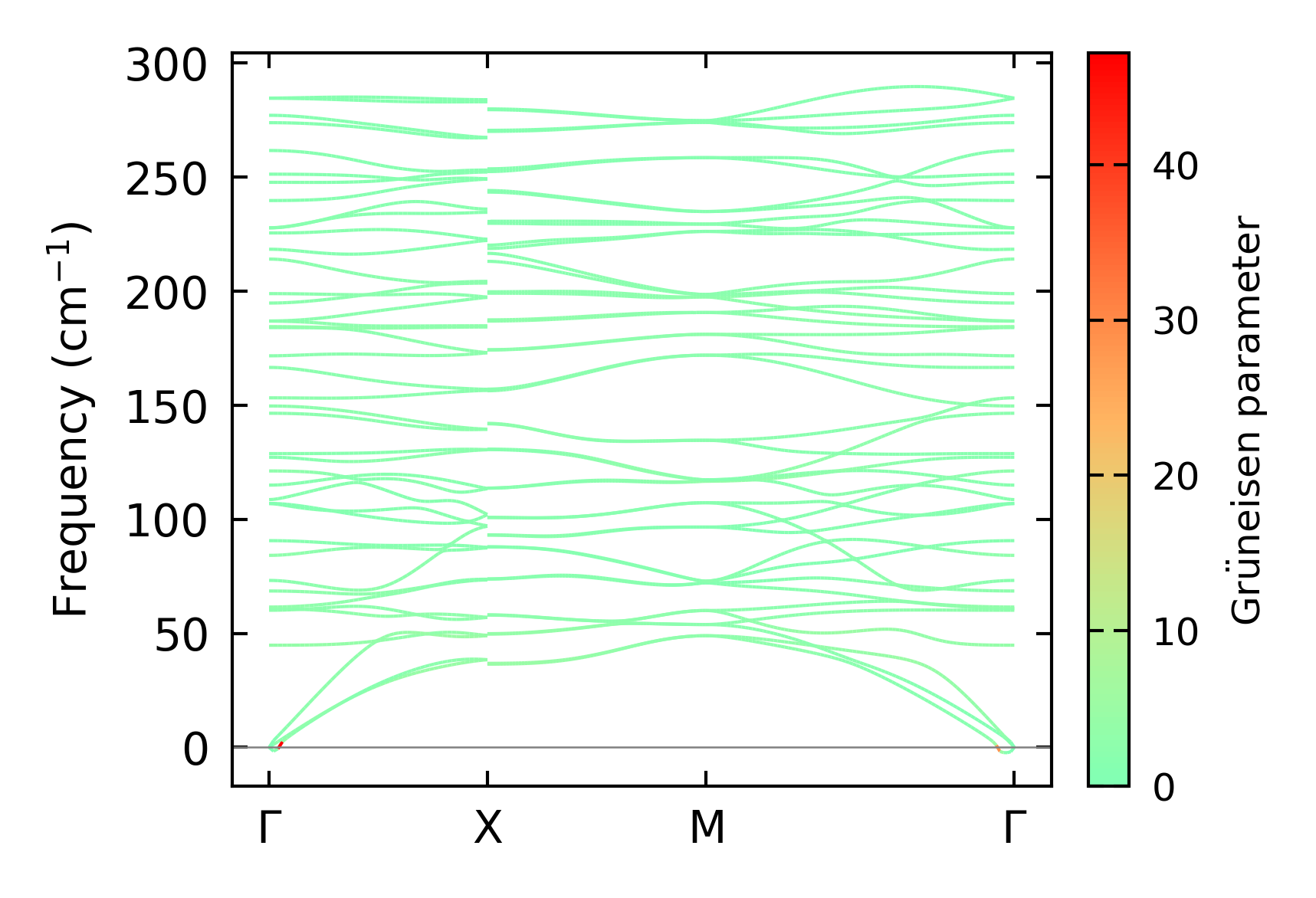
Grüneisen parameters

../../_images/fig_gru_all2188.png

(a) Grüneisen parameters

../../_images/fig_gruneisen2188.png

(b) Phonon dispersion with Grüneisen parameters

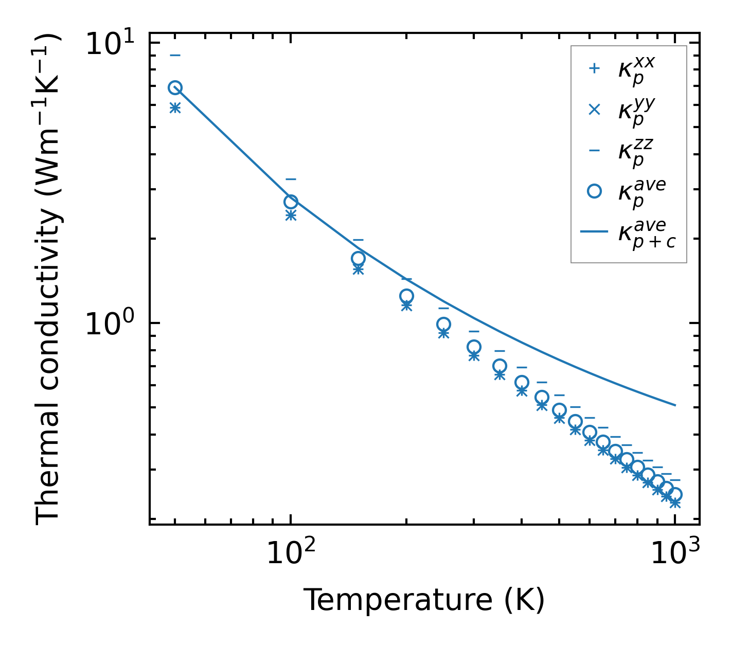
Thermal conductivity

3-phonon (LASSO), supercell 2x2x2 — q-mesh: 10x10x10, supercell: 2x2x2

../../_images/fig_kappa4189.png

(a) Temperature-dependent lattice thermal conductivity

../../_images/fig_kappa_vs_grain_size2219.png

(b) Peierls lattice thermal conductivity w.r.t grain size

Phonon lifetime and scattering rates

../../_images/fig_lifetime2174.png

(a) Phonon lifetime due to phonon-phonon scattering

../../_images/fig_scat_rates2173.png

(b) Phonon scattering rates

Cumulative and spectral thermal conductivity

../../_images/fig_cumu_frequency2174.png

(a) Spectral and cumulative thermal conductivity w.r.t frequency

../../_images/fig_cumu_mfp2174.png

(b) Spectral and cumulative thermal conductivity w.r.t MFP

Force constants

../../_images/fig_fc25052.png

(a) Force constants w.r.t atomic distance

Summary

../../_images/fig_times9441.png

(a) Computation time