mp-675779/Li2Mo3S4/anharm

Harmonic properties

../../_images/fig_bandos_pr5263.png

(a) Phonon dispersion with participation ratio and DOS

../../_images/fig_thermo5263.png

(b) Thermodynamic properties

Grüneisen parameters

../../_images/fig_gru_all2196.png

(a) Grüneisen parameters

../../_images/fig_gruneisen2196.png

(b) Phonon dispersion with Grüneisen parameters

Thermal conductivity

3-phonon (LASSO) — q-mesh: 10x10x10, supercell: 2x2x2

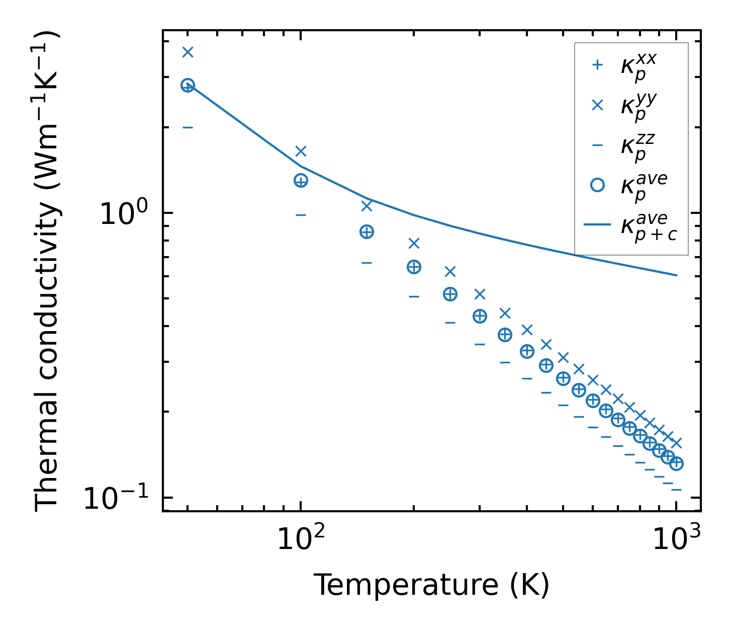
../../_images/fig_kappa4202.png

(a) Temperature-dependent lattice thermal conductivity

../../_images/fig_kappa_vs_grain_size2227.png

(b) Peierls lattice thermal conductivity w.r.t grain size

Phonon lifetime and scattering rates

../../_images/fig_lifetime2182.png

(a) Phonon lifetime due to phonon-phonon scattering

../../_images/fig_scat_rates2181.png

(b) Phonon scattering rates

Cumulative and spectral thermal conductivity

../../_images/fig_cumu_frequency2182.png

(a) Spectral and cumulative thermal conductivity w.r.t frequency

../../_images/fig_cumu_mfp2182.png

(b) Spectral and cumulative thermal conductivity w.r.t MFP

Force constants

../../_images/fig_fc25068.png

(a) Force constants w.r.t atomic distance

Summary

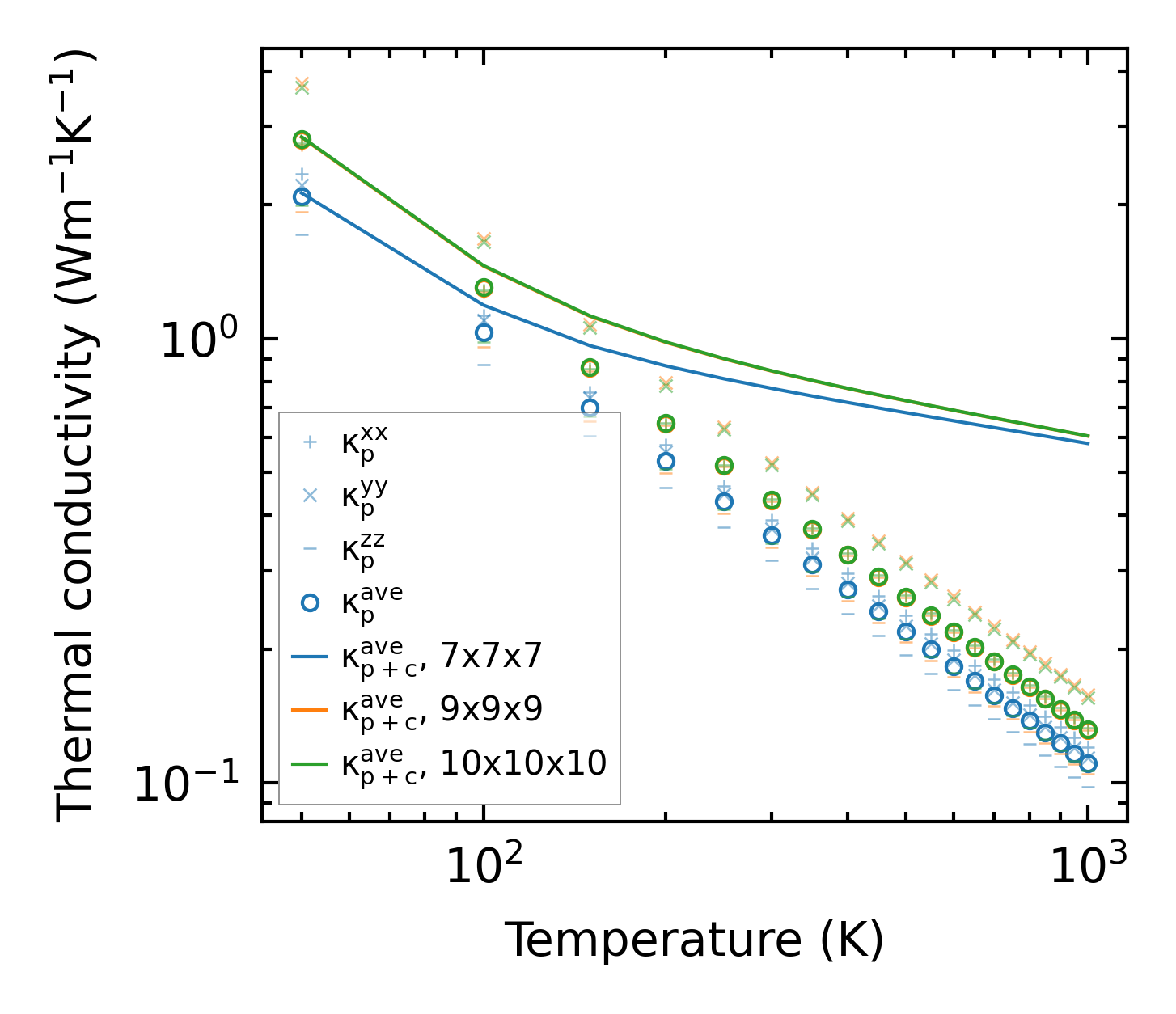
../../_images/fig_kappa4203.png

(a) Temperature-dependent lattice thermal conductivity

../../_images/fig_times9468.png

(b) Computation time