mp-675677/YbSm2S4/anharm

Harmonic properties

../../_images/fig_bandos_pr5252.png

(a) Phonon dispersion with participation ratio and DOS

../../_images/fig_thermo5252.png

(b) Thermodynamic properties

Grüneisen parameters

../../_images/fig_gru_all2190.png

(a) Grüneisen parameters

../../_images/fig_gruneisen2190.png

(b) Phonon dispersion with Grüneisen parameters

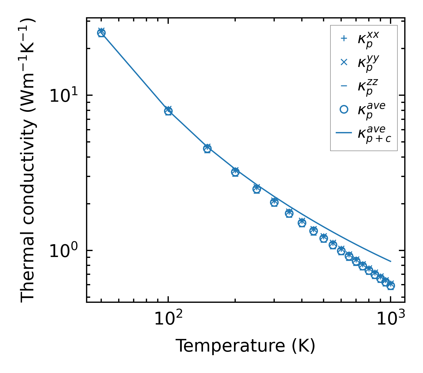
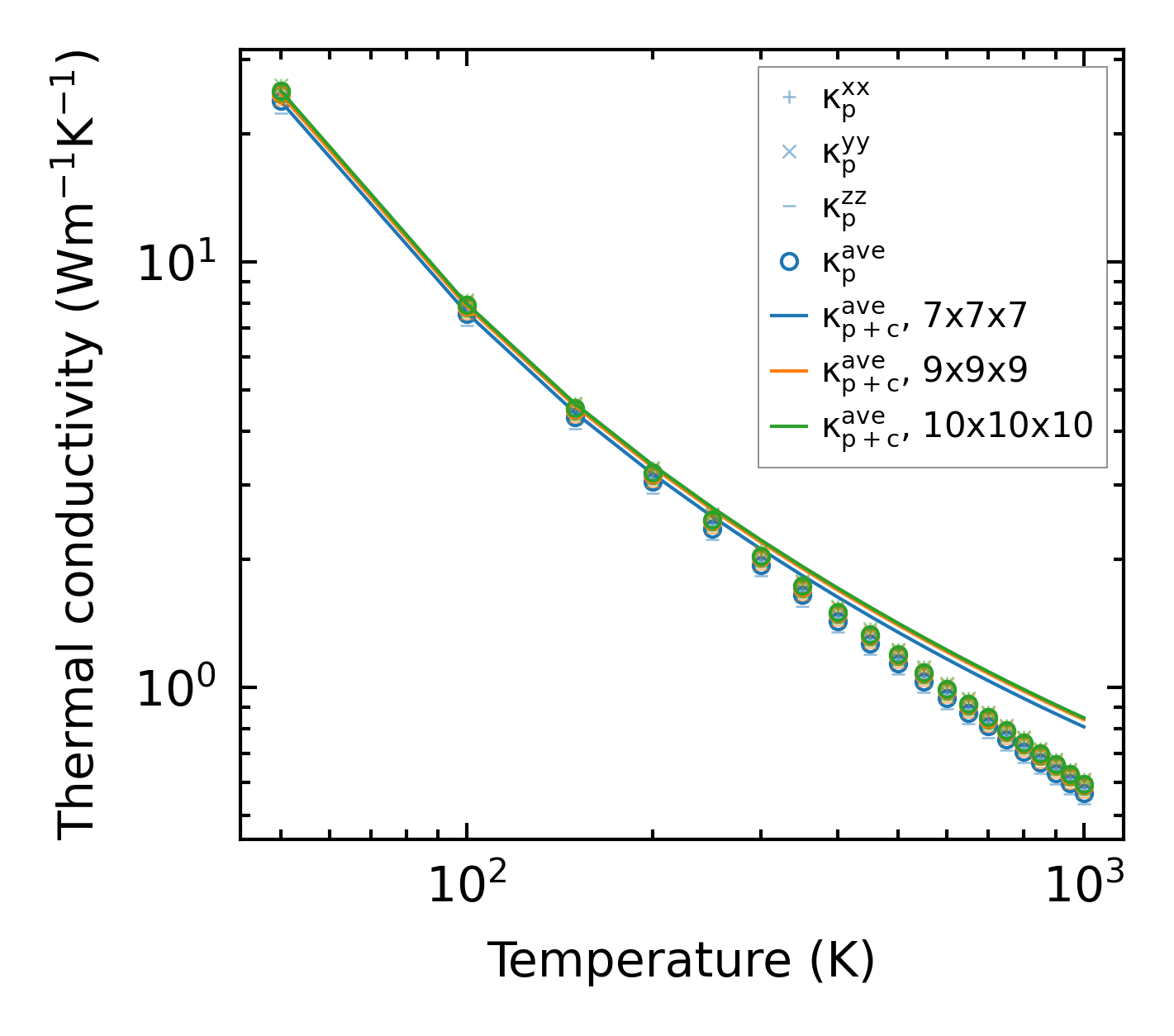
Thermal conductivity

3-phonon (LASSO) — q-mesh: 10x10x10, supercell: 2x2x1

../../_images/fig_kappa4192.png

(a) Temperature-dependent lattice thermal conductivity

../../_images/fig_kappa_vs_grain_size2221.png

(b) Peierls lattice thermal conductivity w.r.t grain size

Phonon lifetime and scattering rates

../../_images/fig_lifetime2176.png

(a) Phonon lifetime due to phonon-phonon scattering

../../_images/fig_scat_rates2175.png

(b) Phonon scattering rates

Cumulative and spectral thermal conductivity

../../_images/fig_cumu_frequency2176.png

(a) Spectral and cumulative thermal conductivity w.r.t frequency

../../_images/fig_cumu_mfp2176.png

(b) Spectral and cumulative thermal conductivity w.r.t MFP

Force constants

../../_images/fig_fc25057.png

(a) Force constants w.r.t atomic distance

Summary

../../_images/fig_kappa4193.png

(a) Temperature-dependent lattice thermal conductivity

../../_images/fig_times9447.png

(b) Computation time