mp-675668/YbPr2S4/anharm

Harmonic properties

../../_images/fig_bandos_pr5251.png

(a) Phonon dispersion with participation ratio and DOS

../../_images/fig_thermo5251.png

(b) Thermodynamic properties

Grüneisen parameters

../../_images/fig_gru_all2189.png

(a) Grüneisen parameters

../../_images/fig_gruneisen2189.png

(b) Phonon dispersion with Grüneisen parameters

Thermal conductivity

3-phonon (LASSO) — q-mesh: 10x10x10, supercell: 2x2x1

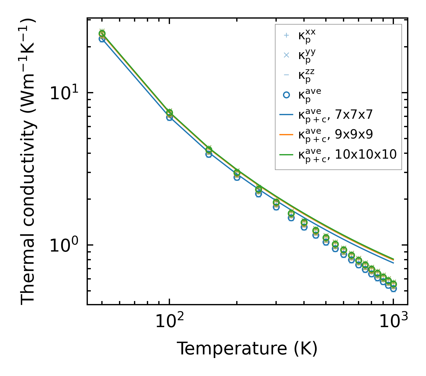
../../_images/fig_kappa4190.png

(a) Temperature-dependent lattice thermal conductivity

../../_images/fig_kappa_vs_grain_size2220.png

(b) Peierls lattice thermal conductivity w.r.t grain size

Phonon lifetime and scattering rates

../../_images/fig_lifetime2175.png

(a) Phonon lifetime due to phonon-phonon scattering

../../_images/fig_scat_rates2174.png

(b) Phonon scattering rates

Cumulative and spectral thermal conductivity

../../_images/fig_cumu_frequency2175.png

(a) Spectral and cumulative thermal conductivity w.r.t frequency

../../_images/fig_cumu_mfp2175.png

(b) Spectral and cumulative thermal conductivity w.r.t MFP

Force constants

../../_images/fig_fc25056.png

(a) Force constants w.r.t atomic distance

Summary

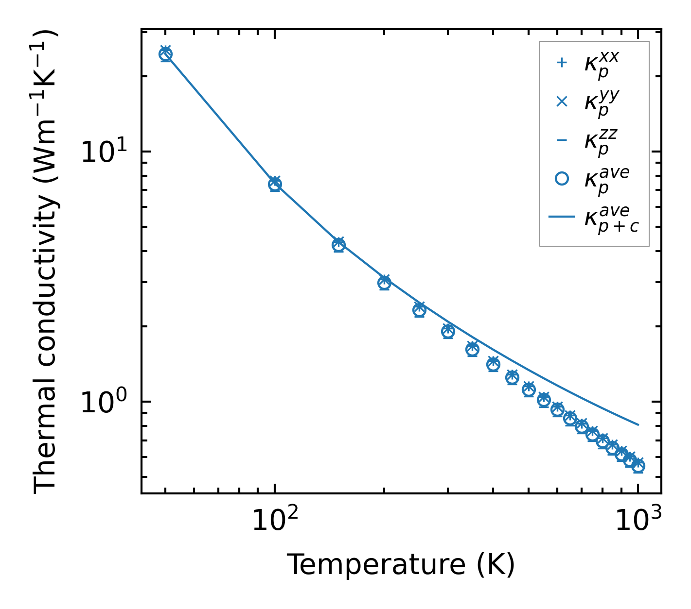
../../_images/fig_kappa4191.png

(a) Temperature-dependent lattice thermal conductivity

../../_images/fig_times9446.png

(b) Computation time