mp-625941/TeH6O6/harm

Harmonic properties

../../_images/fig_bandos_pr5729.png

(a) Phonon dispersion with participation ratio and DOS

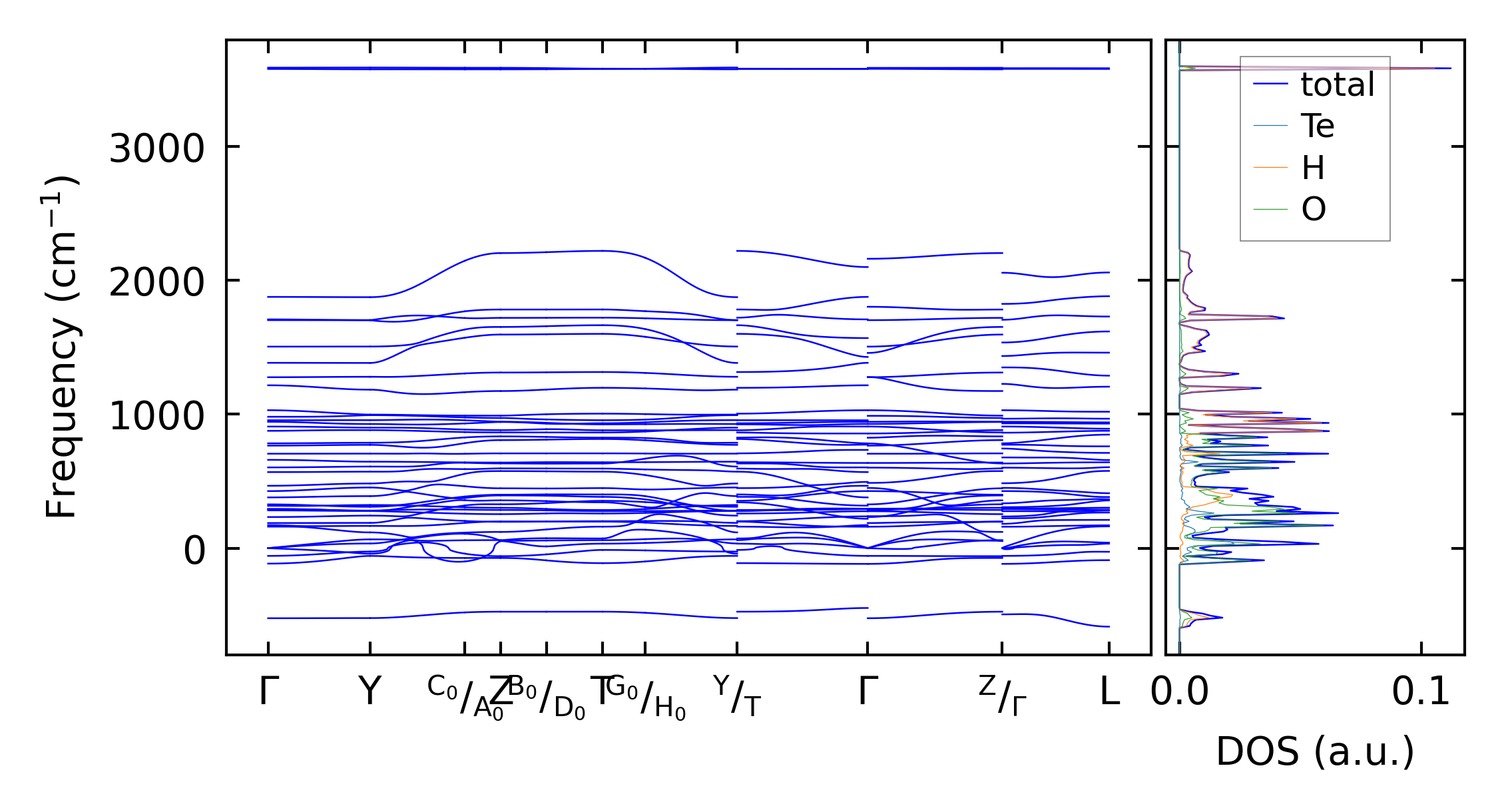
../../_images/fig_bandos8235.png

(b) Phonon dispersion and DOS

../../_images/fig_thermo5729.png

(c) Thermodynamic properties

Force constants

../../_images/fig_fc25525.png

(a) Force constants w.r.t atomic distance

Summary

../../_images/fig_times10350.png

(a) Computation time