mp-625150-2/ScHO2/anharm

Equation of state

../../_images/fig_bm2996.png

(a) Equation of state

Harmonic properties

../../_images/fig_bandos_pr5860.png

(a) Phonon dispersion with participation ratio and DOS

../../_images/fig_thermo5860.png

(b) Thermodynamic properties

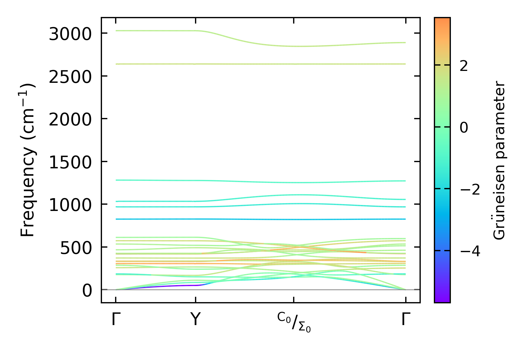
Grüneisen parameters

../../_images/fig_gru_all2414.png

(a) Grüneisen parameters

../../_images/fig_gruneisen2414.png

(b) Phonon dispersion with Grüneisen parameters

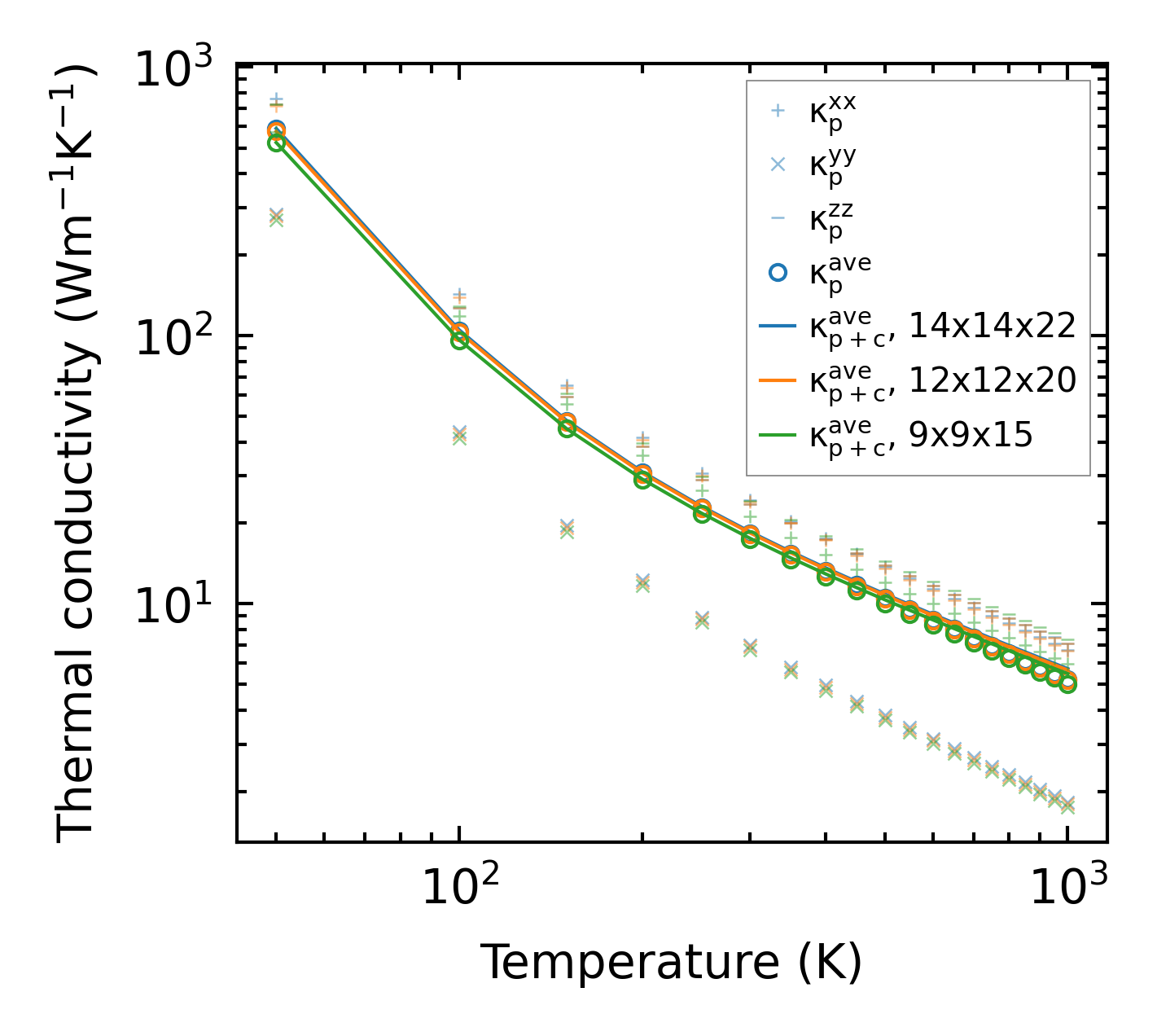
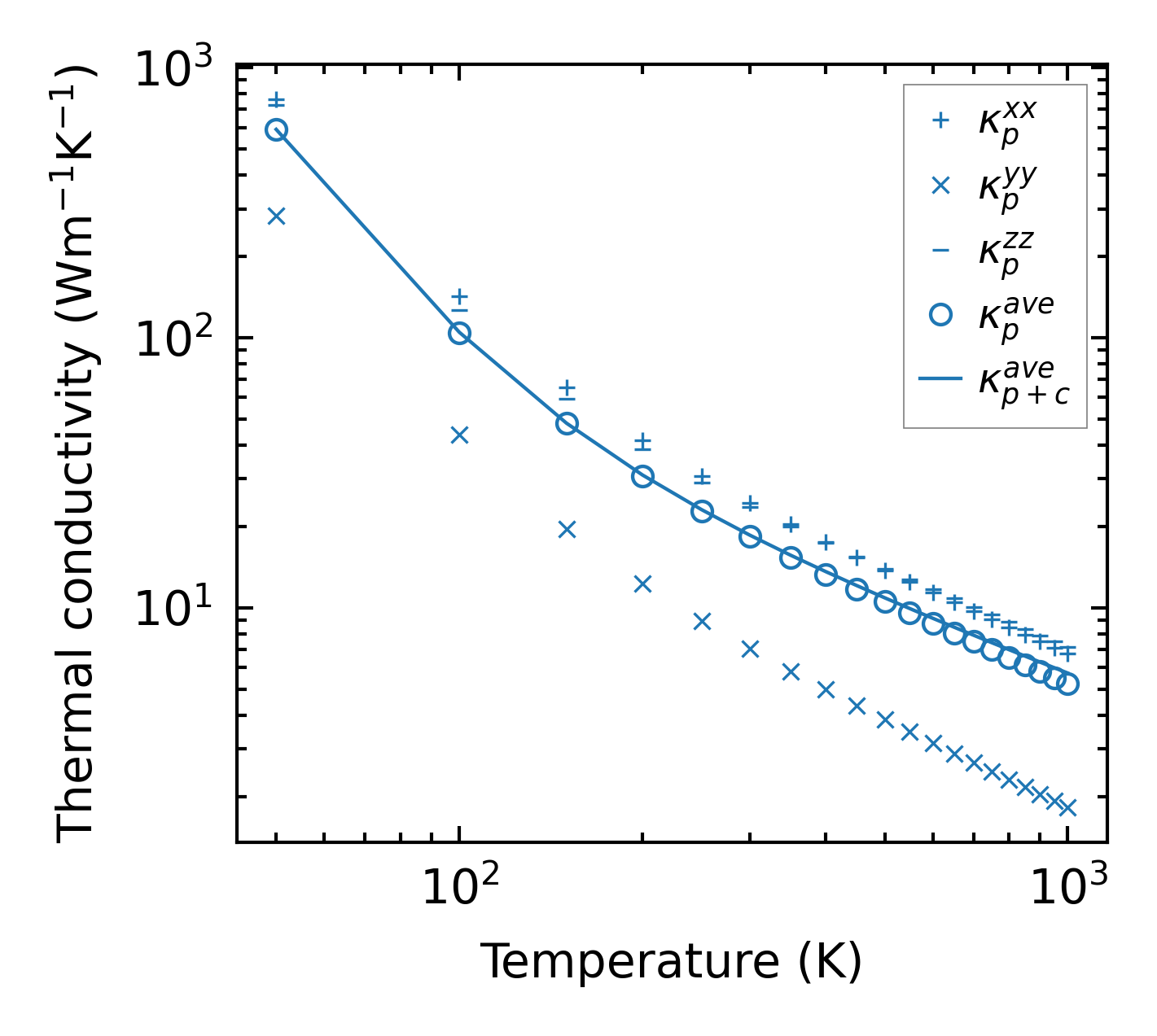
Thermal conductivity

3-phonon (LASSO) — q-mesh: 14x14x22, supercell: 3x1x3

../../_images/fig_kappa4598.png

(a) Temperature-dependent lattice thermal conductivity

../../_images/fig_kappa_vs_grain_size2445.png

(b) Peierls lattice thermal conductivity w.r.t grain size

Phonon lifetime and scattering rates

../../_images/fig_lifetime2397.png

(a) Phonon lifetime due to phonon-phonon scattering

../../_images/fig_scat_rates2396.png

(b) Phonon scattering rates

Cumulative and spectral thermal conductivity

../../_images/fig_cumu_frequency2397.png

(a) Spectral and cumulative thermal conductivity w.r.t frequency

../../_images/fig_cumu_mfp2397.png

(b) Spectral and cumulative thermal conductivity w.r.t MFP

Force constants

../../_images/fig_fc25656.png

(a) Force constants w.r.t atomic distance

Summary

../../_images/fig_kappa4599.png

(a) Temperature-dependent lattice thermal conductivity

../../_images/fig_times10685.png

(b) Computation time