mp-625152/AlHO2/anharm

Harmonic properties

../../_images/fig_bandos_pr5861.png

(a) Phonon dispersion with participation ratio and DOS

../../_images/fig_thermo5861.png

(b) Thermodynamic properties

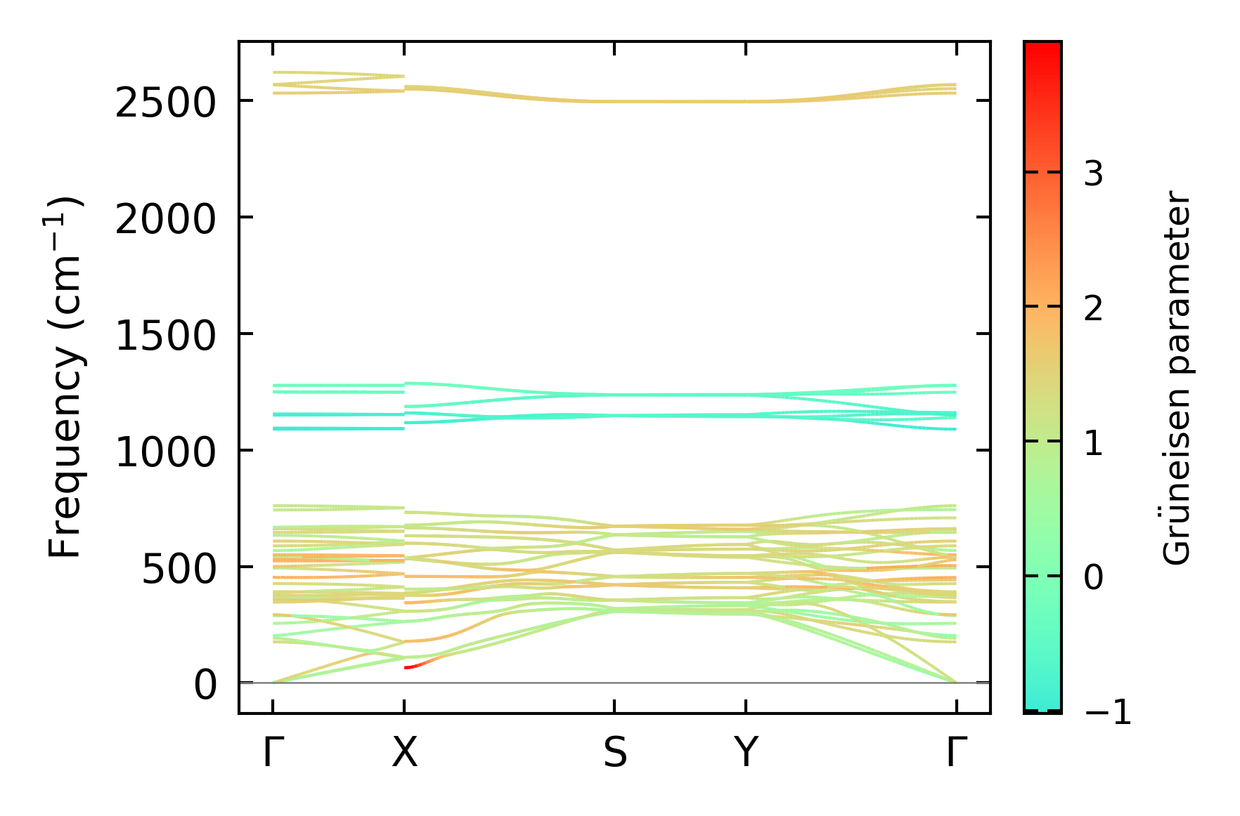
Grüneisen parameters

../../_images/fig_gru_all2415.png

(a) Grüneisen parameters

../../_images/fig_gruneisen2415.png

(b) Phonon dispersion with Grüneisen parameters

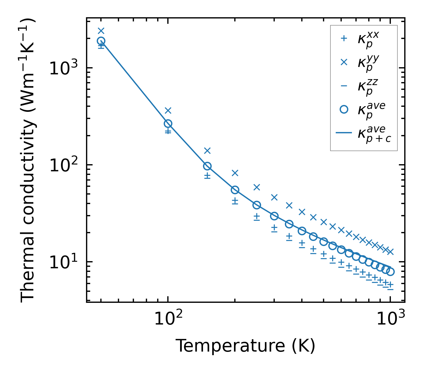
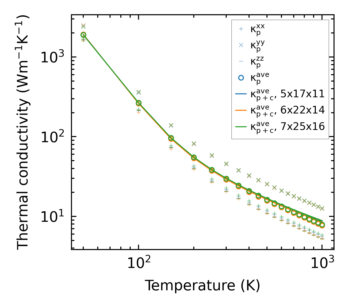
Thermal conductivity

3-phonon (LASSO) — q-mesh: 7x25x16, supercell: 1x4x2

../../_images/fig_kappa4600.png

(a) Temperature-dependent lattice thermal conductivity

../../_images/fig_kappa_vs_grain_size2446.png

(b) Peierls lattice thermal conductivity w.r.t grain size

Phonon lifetime and scattering rates

../../_images/fig_lifetime2398.png

(a) Phonon lifetime due to phonon-phonon scattering

../../_images/fig_scat_rates2397.png

(b) Phonon scattering rates

Cumulative and spectral thermal conductivity

../../_images/fig_cumu_frequency2398.png

(a) Spectral and cumulative thermal conductivity w.r.t frequency

../../_images/fig_cumu_mfp2398.png

(b) Spectral and cumulative thermal conductivity w.r.t MFP

Force constants

../../_images/fig_fc25657.png

(a) Force constants w.r.t atomic distance

Summary

../../_images/fig_kappa4601.png

(a) Temperature-dependent lattice thermal conductivity

../../_images/fig_times10688.png

(b) Computation time