mp-625678/ScHO2/anharm

Equation of state

../../_images/fig_bm3061.png

(a) Equation of state

Harmonic properties

../../_images/fig_bandos_pr5924.png

(a) Phonon dispersion with participation ratio and DOS

../../_images/fig_thermo5924.png

(b) Thermodynamic properties

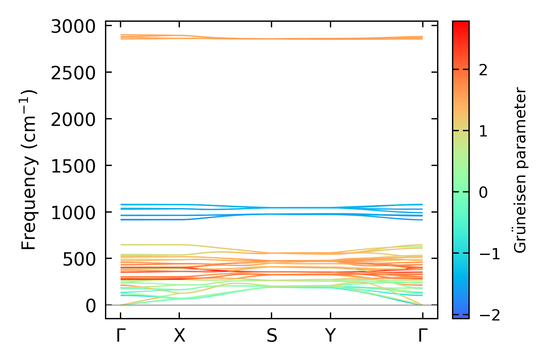
Grüneisen parameters

../../_images/fig_gru_all2424.png

(a) Grüneisen parameters

../../_images/fig_gruneisen2424.png

(b) Phonon dispersion with Grüneisen parameters

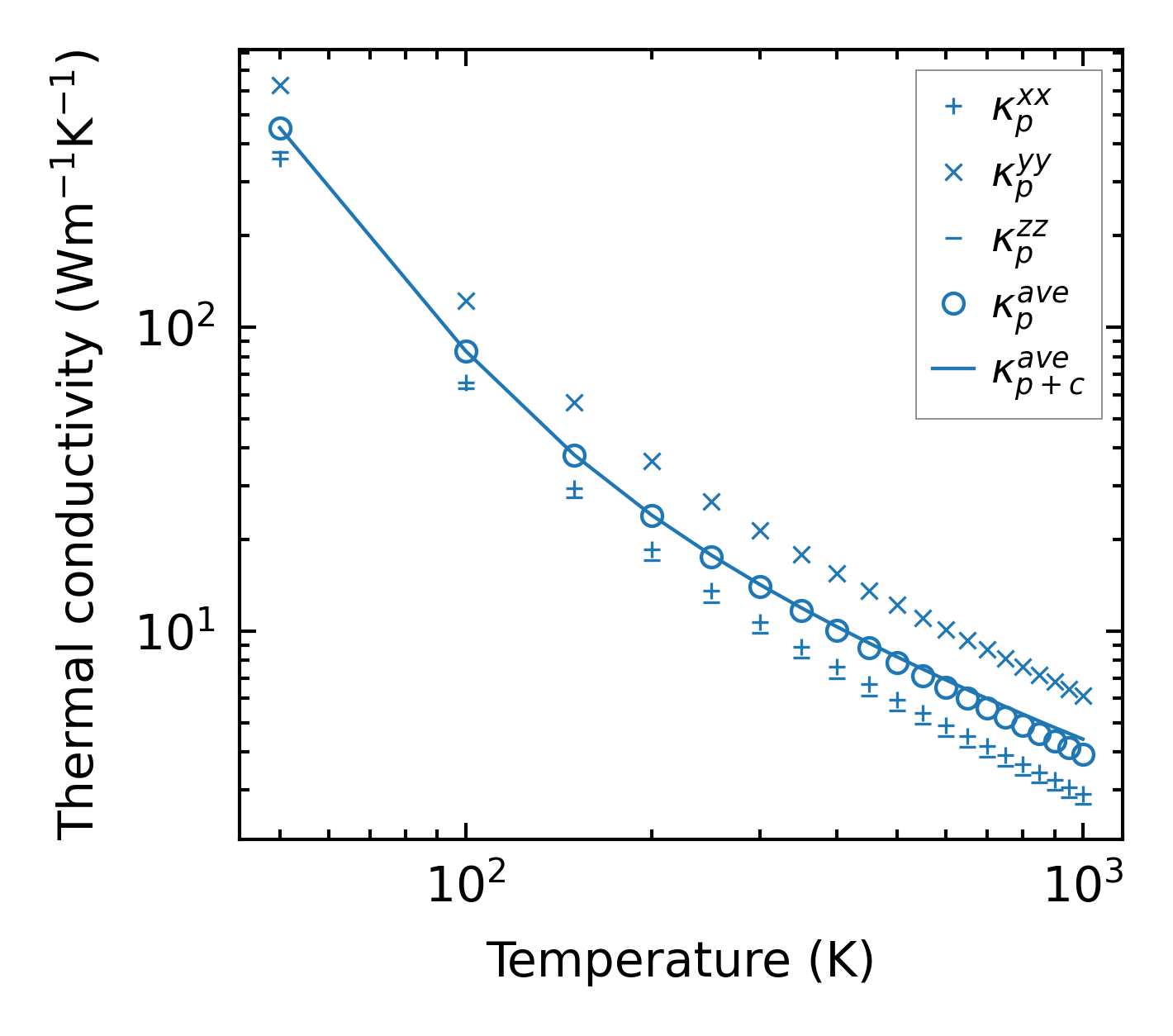
Thermal conductivity

3-phonon (LASSO) — q-mesh: 7x22x15, supercell: 1x3x3

../../_images/fig_kappa4616.png

(a) Temperature-dependent lattice thermal conductivity

../../_images/fig_kappa_vs_grain_size2455.png

(b) Peierls lattice thermal conductivity w.r.t grain size

Phonon lifetime and scattering rates

../../_images/fig_lifetime2407.png

(a) Phonon lifetime due to phonon-phonon scattering

../../_images/fig_scat_rates2406.png

(b) Phonon scattering rates

Cumulative and spectral thermal conductivity

../../_images/fig_cumu_frequency2407.png

(a) Spectral and cumulative thermal conductivity w.r.t frequency

../../_images/fig_cumu_mfp2407.png

(b) Spectral and cumulative thermal conductivity w.r.t MFP

Force constants

../../_images/fig_fc25720.png

(a) Force constants w.r.t atomic distance

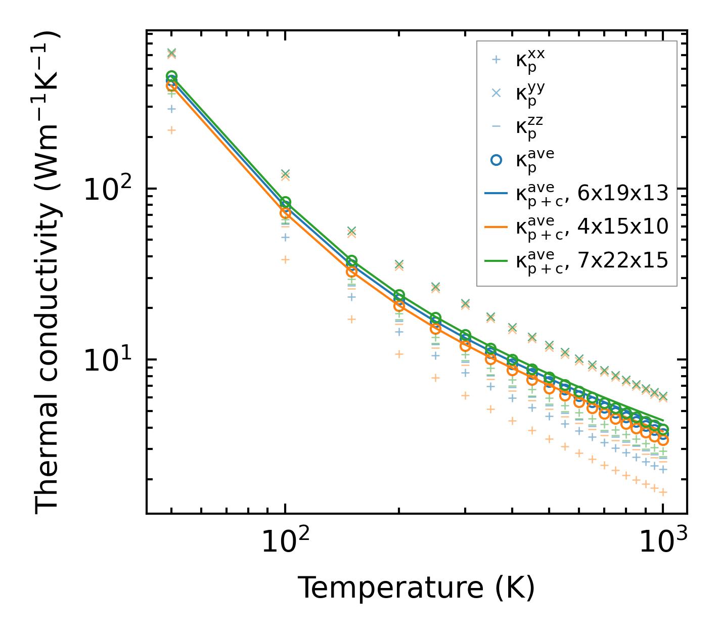
Summary

../../_images/fig_kappa4617.png

(a) Temperature-dependent lattice thermal conductivity

../../_images/fig_times10807.png

(b) Computation time