mp-625548/CdH2O2/anharm

Harmonic properties

../../_images/fig_bandos_pr5908.png

(a) Phonon dispersion with participation ratio and DOS

../../_images/fig_thermo5908.png

(b) Thermodynamic properties

Grüneisen parameters

../../_images/fig_gru_all2420.png

(a) Grüneisen parameters

../../_images/fig_gruneisen2420.png

(b) Phonon dispersion with Grüneisen parameters

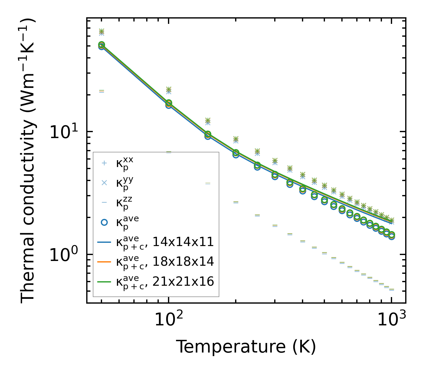
Thermal conductivity

3-phonon (LASSO) — q-mesh: 21x21x16, supercell: 3x3x3

../../_images/fig_kappa4608.png

(a) Temperature-dependent lattice thermal conductivity

../../_images/fig_kappa_vs_grain_size2451.png

(b) Peierls lattice thermal conductivity w.r.t grain size

Phonon lifetime and scattering rates

../../_images/fig_lifetime2403.png

(a) Phonon lifetime due to phonon-phonon scattering

../../_images/fig_scat_rates2402.png

(b) Phonon scattering rates

Cumulative and spectral thermal conductivity

../../_images/fig_cumu_frequency2403.png

(a) Spectral and cumulative thermal conductivity w.r.t frequency

../../_images/fig_cumu_mfp2403.png

(b) Spectral and cumulative thermal conductivity w.r.t MFP

Force constants

../../_images/fig_fc25704.png

(a) Force constants w.r.t atomic distance

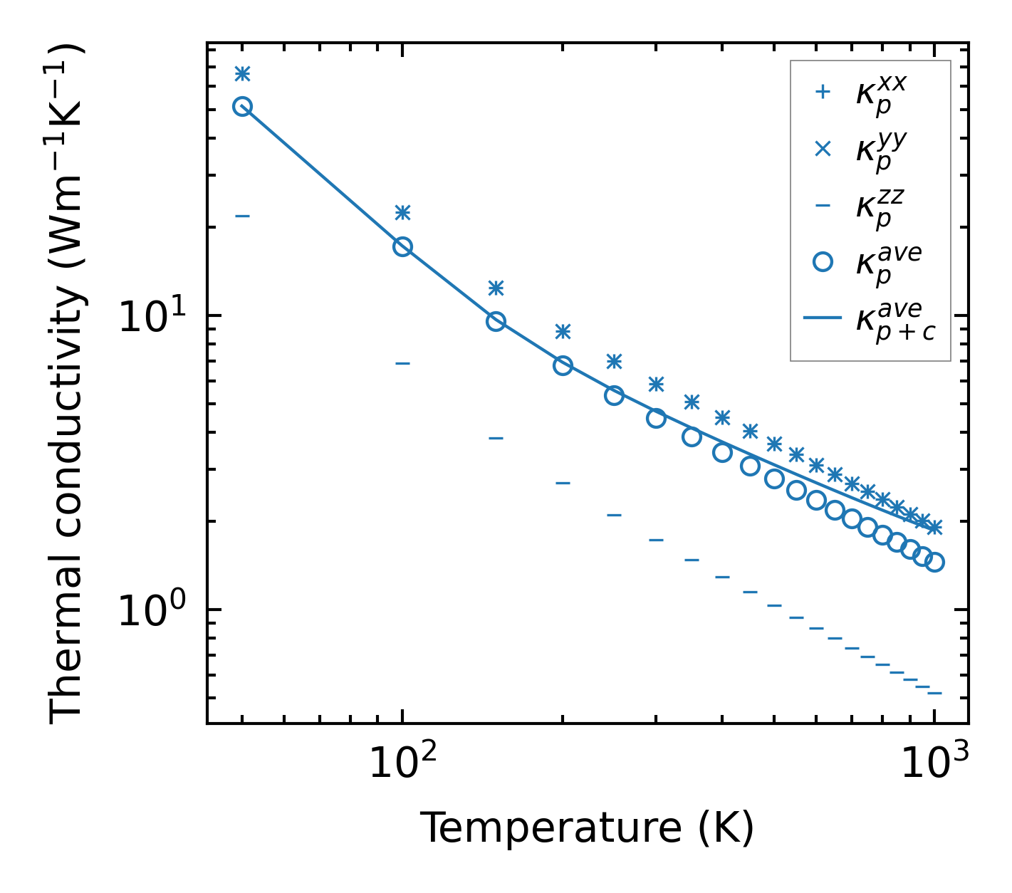
Summary

../../_images/fig_kappa4609.png

(a) Temperature-dependent lattice thermal conductivity

../../_images/fig_times10777.png

(b) Computation time