mp-625468-2/LuH3O3/anharm

Equation of state

../../_images/fig_bm3036.png

(a) Equation of state

Harmonic properties

../../_images/fig_bandos_pr5900.png

(a) Phonon dispersion with participation ratio and DOS

../../_images/fig_bandos8626.png

(b) Phonon dispersion and DOS

../../_images/fig_thermo5900.png

(c) Thermodynamic properties

Grüneisen parameters

../../_images/fig_gru_all2418.png

(a) Grüneisen parameters

../../_images/fig_gruneisen2418.png

(b) Phonon dispersion with Grüneisen parameters

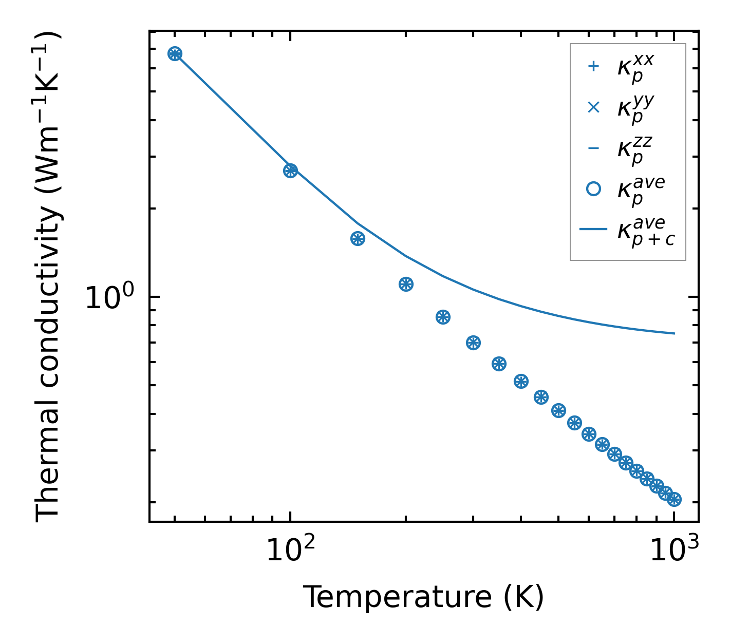
Thermal conductivity

3-phonon (LASSO), supercell 1x1x2 — q-mesh: 11x11x11, supercell: 1x1x2

../../_images/fig_kappa4605.png

(a) Temperature-dependent lattice thermal conductivity

../../_images/fig_kappa_vs_grain_size2449.png

(b) Peierls lattice thermal conductivity w.r.t grain size

Phonon lifetime and scattering rates

../../_images/fig_lifetime2401.png

(a) Phonon lifetime due to phonon-phonon scattering

../../_images/fig_scat_rates2400.png

(b) Phonon scattering rates

Cumulative and spectral thermal conductivity

../../_images/fig_cumu_frequency2401.png

(a) Spectral and cumulative thermal conductivity w.r.t frequency

../../_images/fig_cumu_mfp2401.png

(b) Spectral and cumulative thermal conductivity w.r.t MFP

Force constants

../../_images/fig_fc25696.png

(a) Force constants w.r.t atomic distance

Summary

../../_images/fig_times10761.png

(a) Computation time