mp-625663/ScHO2/anharm

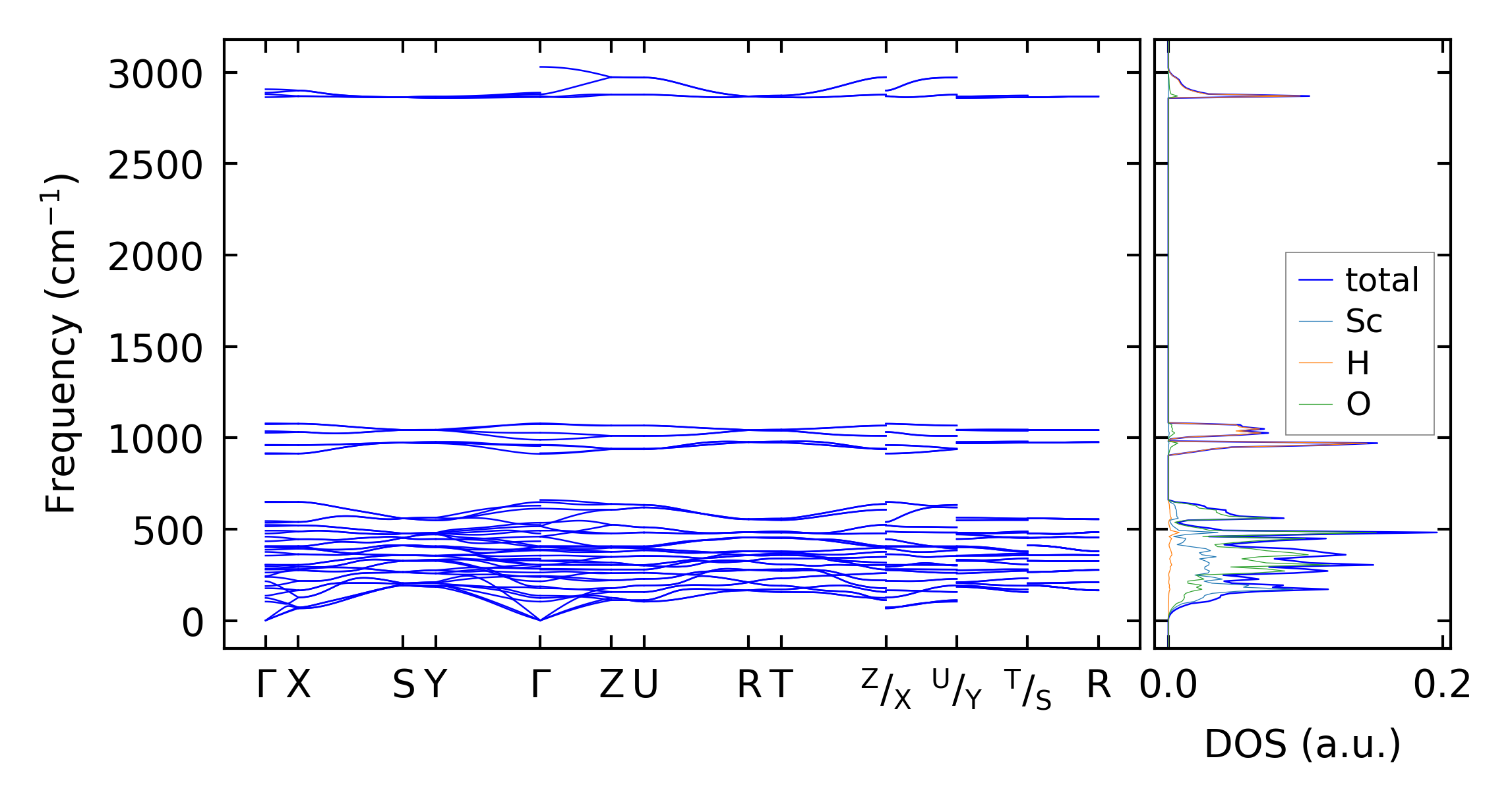
Harmonic properties

../../_images/fig_bandos_pr5922.png

(a) Phonon dispersion with participation ratio and DOS

../../_images/fig_bandos8664.png

(b) Phonon dispersion and DOS

../../_images/fig_thermo5922.png

(c) Thermodynamic properties

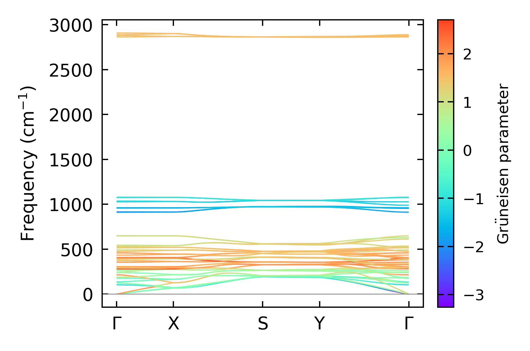
Grüneisen parameters

../../_images/fig_gru_all2422.png

(a) Grüneisen parameters

../../_images/fig_gruneisen2422.png

(b) Phonon dispersion with Grüneisen parameters

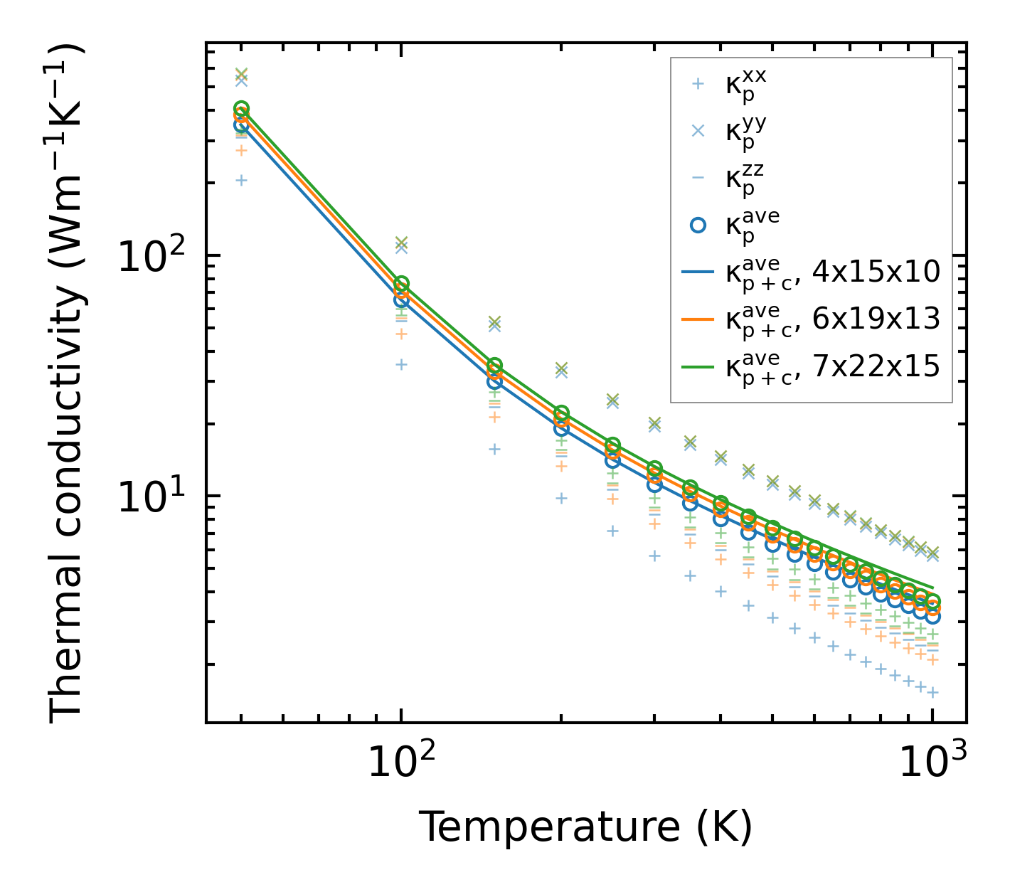
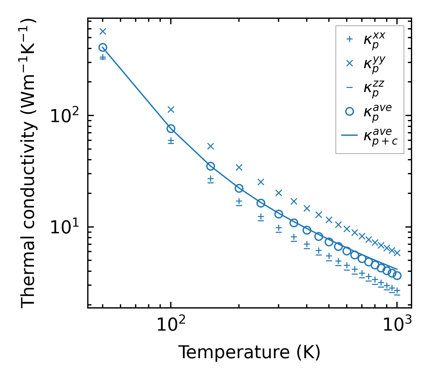
Thermal conductivity

3-phonon (LASSO) — q-mesh: 7x22x15, supercell: 1x3x3

../../_images/fig_kappa4612.png

(a) Temperature-dependent lattice thermal conductivity

../../_images/fig_kappa_vs_grain_size2453.png

(b) Peierls lattice thermal conductivity w.r.t grain size

Phonon lifetime and scattering rates

../../_images/fig_lifetime2405.png

(a) Phonon lifetime due to phonon-phonon scattering

../../_images/fig_scat_rates2404.png

(b) Phonon scattering rates

Cumulative and spectral thermal conductivity

../../_images/fig_cumu_frequency2405.png

(a) Spectral and cumulative thermal conductivity w.r.t frequency

../../_images/fig_cumu_mfp2405.png

(b) Spectral and cumulative thermal conductivity w.r.t MFP

Force constants

../../_images/fig_fc25718.png

(a) Force constants w.r.t atomic distance

Summary

../../_images/fig_kappa4613.png

(a) Temperature-dependent lattice thermal conductivity

../../_images/fig_times10802.png

(b) Computation time