mp-625087-2/UH2O4/anharm

Equation of state

../../_images/fig_bm2988.png

(a) Equation of state

Harmonic properties

../../_images/fig_bandos_pr5853.png

(a) Phonon dispersion with participation ratio and DOS

../../_images/fig_bandos8536.png

(b) Phonon dispersion and DOS

../../_images/fig_thermo5853.png

(c) Thermodynamic properties

Grüneisen parameters

../../_images/fig_gru_all2412.png

(a) Grüneisen parameters

../../_images/fig_gruneisen2412.png

(b) Phonon dispersion with Grüneisen parameters

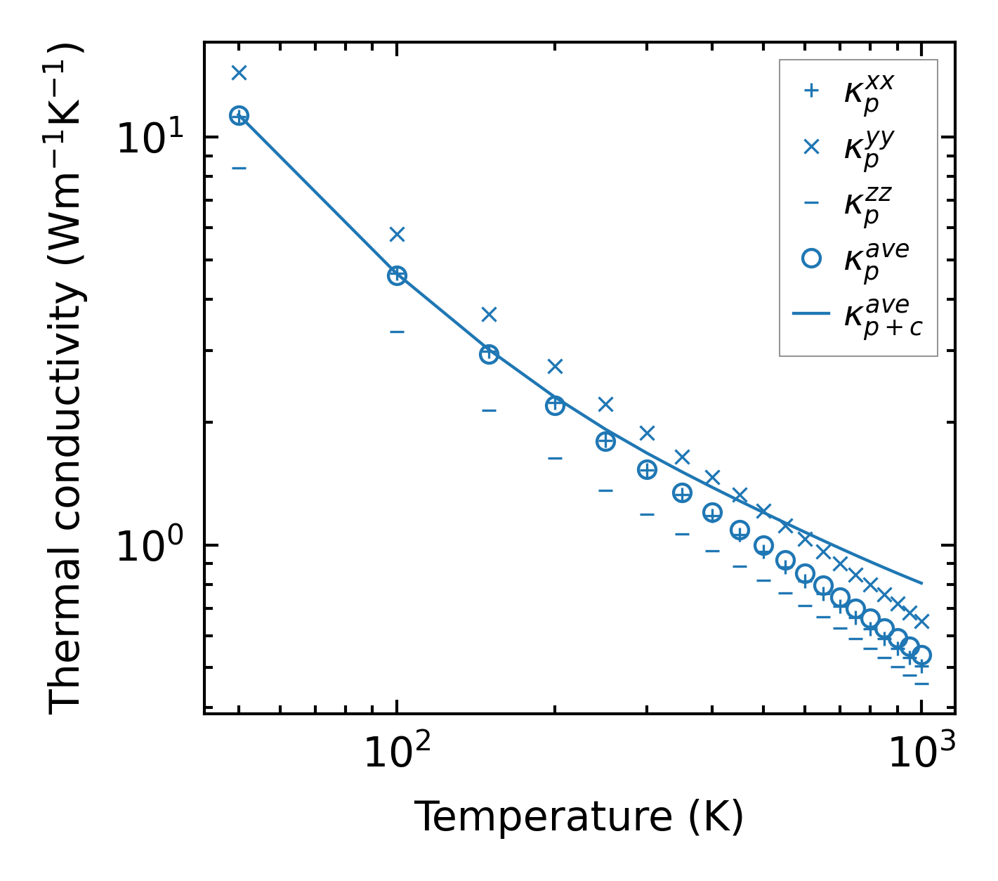
Thermal conductivity

3-phonon (LASSO) — q-mesh: 12x11x7, supercell: 2x2x1

../../_images/fig_kappa4595.png

(a) Temperature-dependent lattice thermal conductivity

../../_images/fig_kappa_vs_grain_size2443.png

(b) Peierls lattice thermal conductivity w.r.t grain size

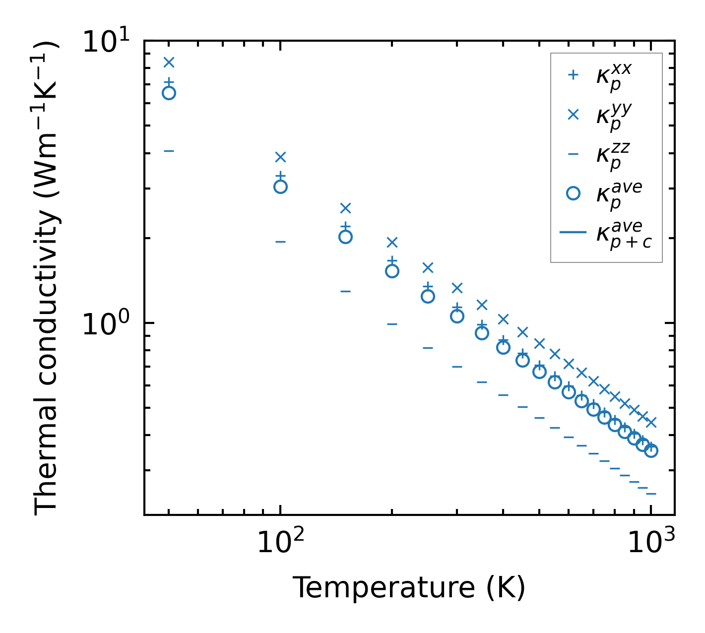
3-phonon (LASSO), supercell 2x2x2 — q-mesh: 12x11x7, supercell: 2x2x2

../../_images/fig_kappa4596.png

(a) Temperature-dependent lattice thermal conductivity

../../_images/fig_kappa_vs_grain_size2444.png

(b) Peierls lattice thermal conductivity w.r.t grain size

Phonon lifetime and scattering rates

../../_images/fig_lifetime2396.png

(a) Phonon lifetime due to phonon-phonon scattering

../../_images/fig_scat_rates2395.png

(b) Phonon scattering rates

Cumulative and spectral thermal conductivity

../../_images/fig_cumu_frequency2396.png

(a) Spectral and cumulative thermal conductivity w.r.t frequency

../../_images/fig_cumu_mfp2396.png

(b) Spectral and cumulative thermal conductivity w.r.t MFP

Force constants

../../_images/fig_fc25649.png

(a) Force constants w.r.t atomic distance

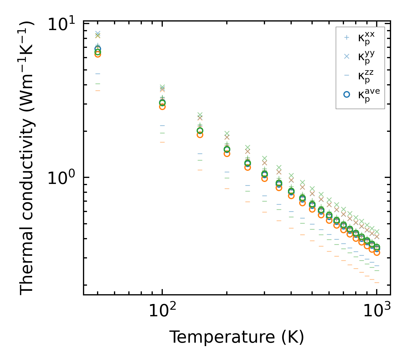
Summary

../../_images/fig_kappa4597.png

(a) Temperature-dependent lattice thermal conductivity

../../_images/fig_times10668.png

(b) Computation time