mp-625392-2/LuH3O3/anharm

Equation of state

../../_images/fig_bm3020.png

(a) Equation of state

Harmonic properties

../../_images/fig_bandos_pr5882.png

(a) Phonon dispersion with participation ratio and DOS

../../_images/fig_bandos8599.png

(b) Phonon dispersion and DOS

../../_images/fig_thermo5882.png

(c) Thermodynamic properties

Grüneisen parameters

../../_images/fig_gru_all2416.png

(a) Grüneisen parameters

../../_images/fig_gruneisen2416.png

(b) Phonon dispersion with Grüneisen parameters

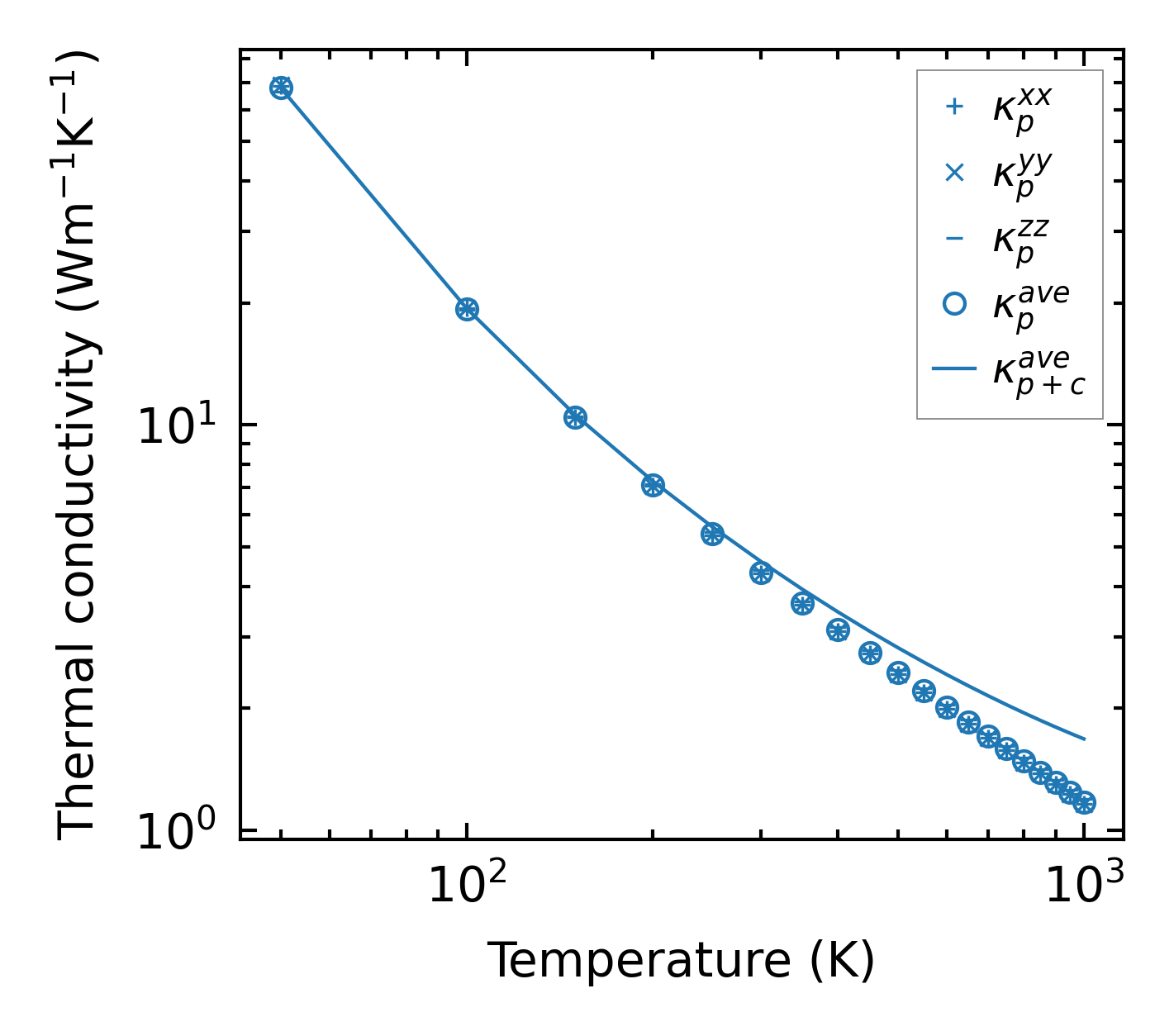
Thermal conductivity

3-phonon (LASSO), supercell 1x1x2 — q-mesh: 11x11x11, supercell: 1x1x2

../../_images/fig_kappa4602.png

(a) Temperature-dependent lattice thermal conductivity

../../_images/fig_kappa_vs_grain_size2447.png

(b) Peierls lattice thermal conductivity w.r.t grain size

Phonon lifetime and scattering rates

../../_images/fig_lifetime2399.png

(a) Phonon lifetime due to phonon-phonon scattering

../../_images/fig_scat_rates2398.png

(b) Phonon scattering rates

Cumulative and spectral thermal conductivity

../../_images/fig_cumu_frequency2399.png

(a) Spectral and cumulative thermal conductivity w.r.t frequency

../../_images/fig_cumu_mfp2399.png

(b) Spectral and cumulative thermal conductivity w.r.t MFP

Force constants

../../_images/fig_fc25678.png

(a) Force constants w.r.t atomic distance

Summary

../../_images/fig_times10733.png

(a) Computation time