mp-625663-2/ScHO2/anharm

Equation of state

../../_images/fig_bm3059.png

(a) Equation of state

Harmonic properties

../../_images/fig_bandos_pr5923.png

(a) Phonon dispersion with participation ratio and DOS

../../_images/fig_thermo5923.png

(b) Thermodynamic properties

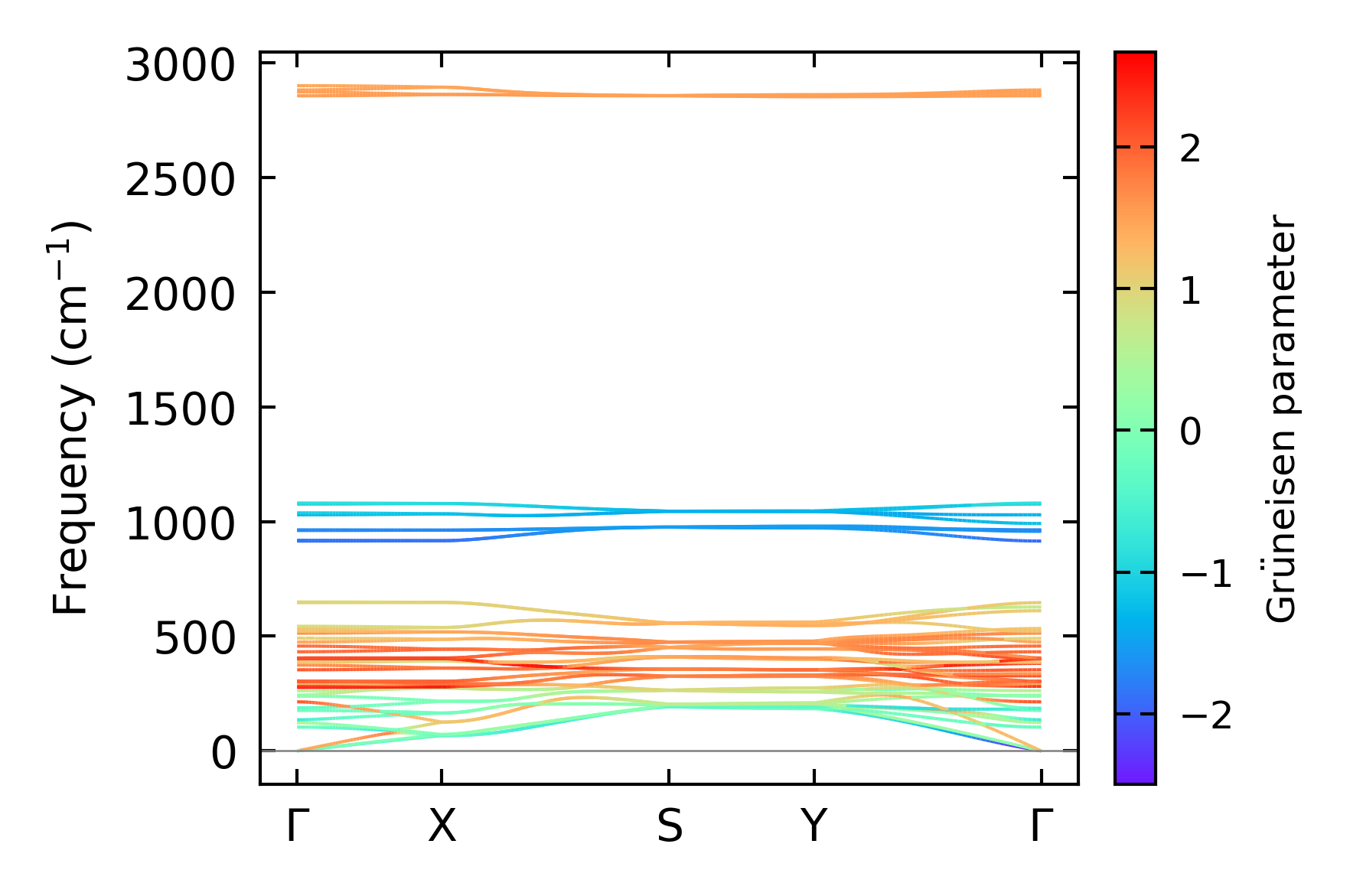
Grüneisen parameters

../../_images/fig_gru_all2423.png

(a) Grüneisen parameters

../../_images/fig_gruneisen2423.png

(b) Phonon dispersion with Grüneisen parameters

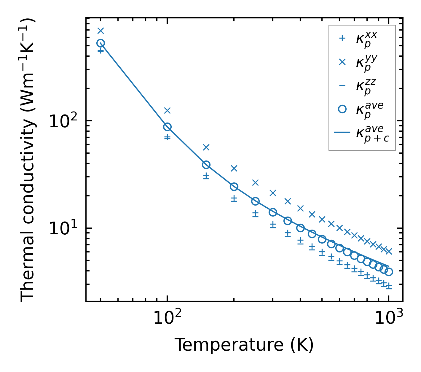
Thermal conductivity

3-phonon (LASSO) — q-mesh: 7x22x15, supercell: 1x3x3

../../_images/fig_kappa4614.png

(a) Temperature-dependent lattice thermal conductivity

../../_images/fig_kappa_vs_grain_size2454.png

(b) Peierls lattice thermal conductivity w.r.t grain size

Phonon lifetime and scattering rates

../../_images/fig_lifetime2406.png

(a) Phonon lifetime due to phonon-phonon scattering

../../_images/fig_scat_rates2405.png

(b) Phonon scattering rates

Cumulative and spectral thermal conductivity

../../_images/fig_cumu_frequency2406.png

(a) Spectral and cumulative thermal conductivity w.r.t frequency

../../_images/fig_cumu_mfp2406.png

(b) Spectral and cumulative thermal conductivity w.r.t MFP

Force constants

../../_images/fig_fc25719.png

(a) Force constants w.r.t atomic distance

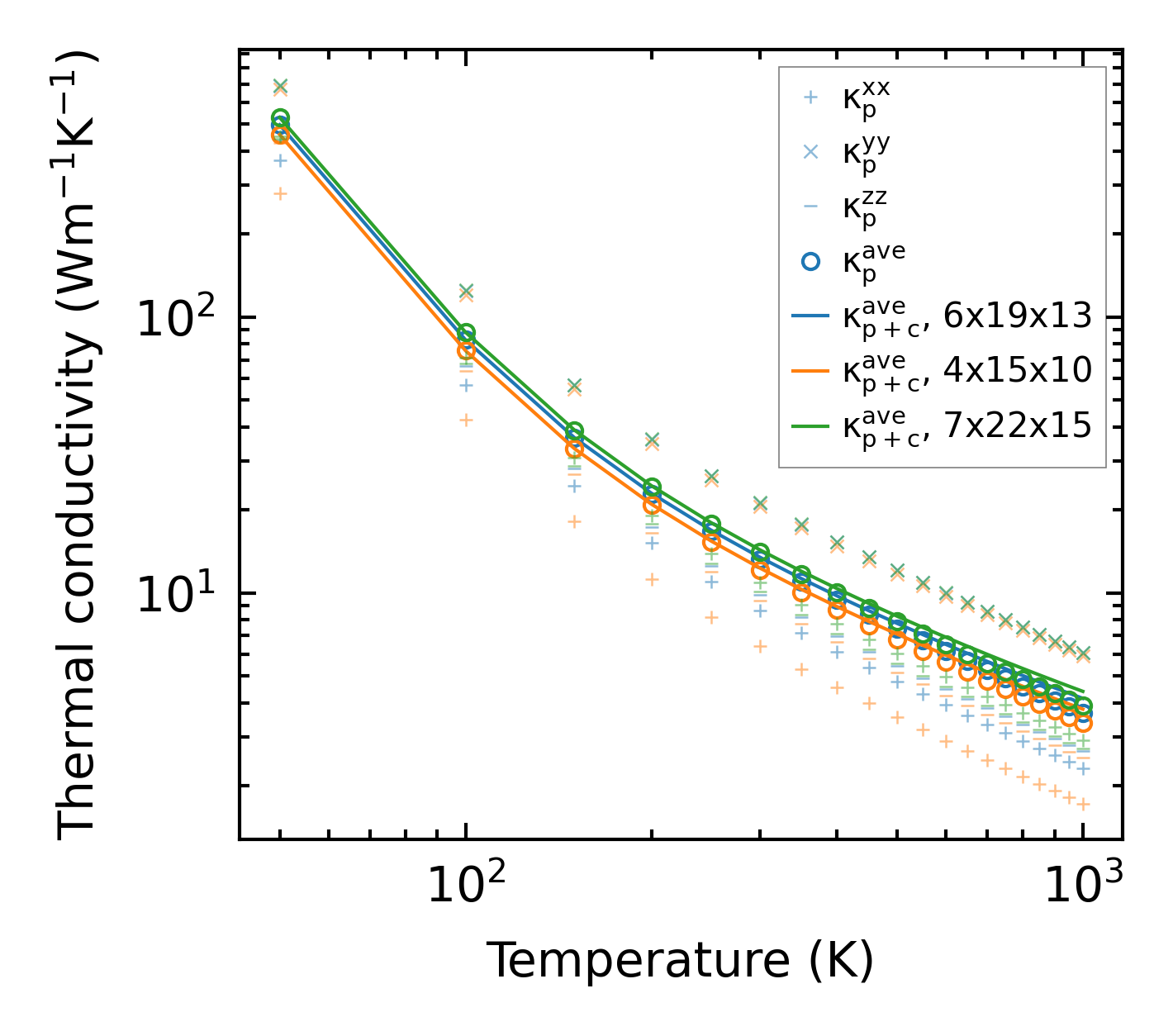
Summary

../../_images/fig_kappa4615.png

(a) Temperature-dependent lattice thermal conductivity

../../_images/fig_times10803.png

(b) Computation time