mp-625404/AlHO2/anharm

Harmonic properties

../../_images/fig_bandos_pr5889.png

(a) Phonon dispersion with participation ratio and DOS

../../_images/fig_thermo5889.png

(b) Thermodynamic properties

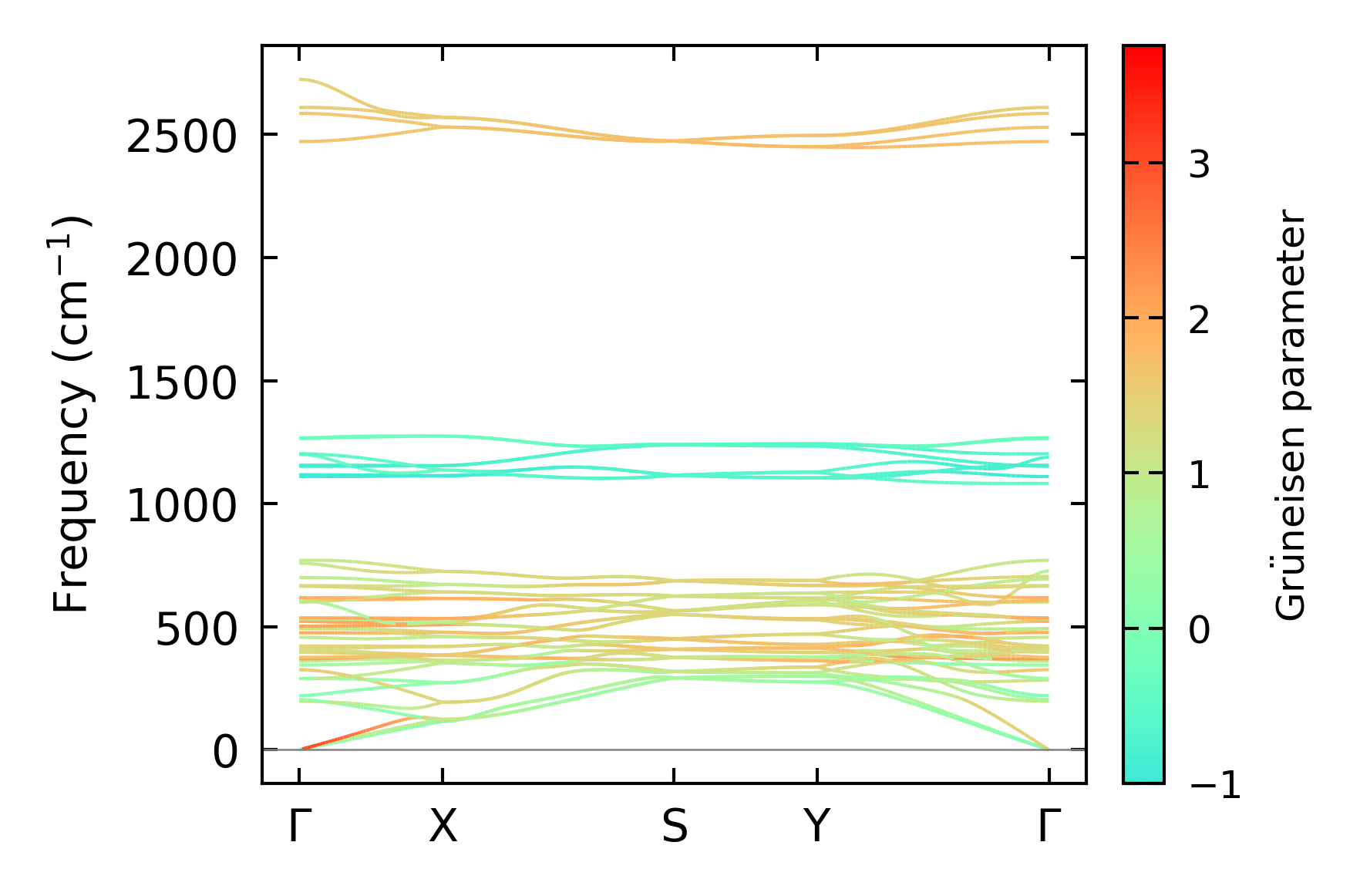
Grüneisen parameters

../../_images/fig_gru_all2417.png

(a) Grüneisen parameters

../../_images/fig_gruneisen2417.png

(b) Phonon dispersion with Grüneisen parameters

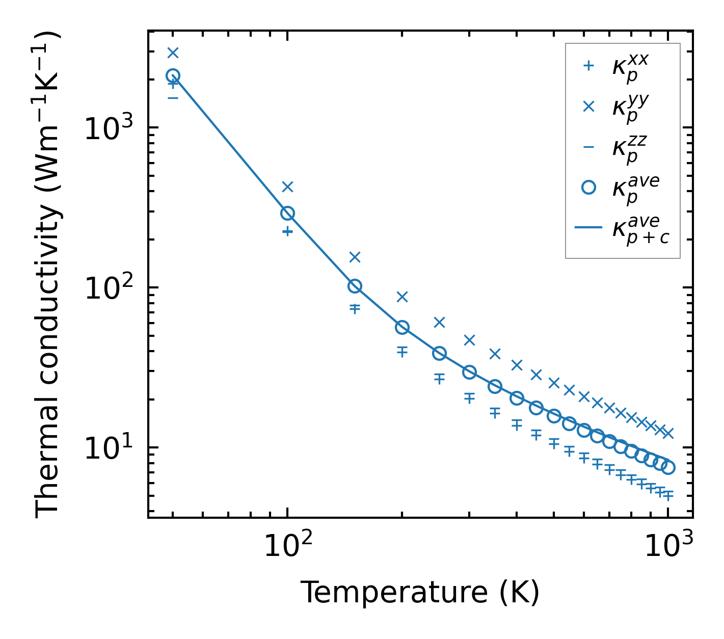
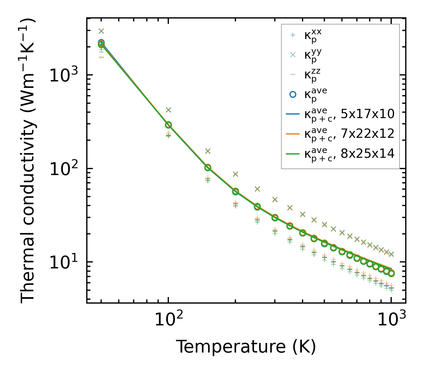
Thermal conductivity

3-phonon (LASSO) — q-mesh: 8x25x14, supercell: 1x3x2

../../_images/fig_kappa4603.png

(a) Temperature-dependent lattice thermal conductivity

../../_images/fig_kappa_vs_grain_size2448.png

(b) Peierls lattice thermal conductivity w.r.t grain size

Phonon lifetime and scattering rates

../../_images/fig_lifetime2400.png

(a) Phonon lifetime due to phonon-phonon scattering

../../_images/fig_scat_rates2399.png

(b) Phonon scattering rates

Cumulative and spectral thermal conductivity

../../_images/fig_cumu_frequency2400.png

(a) Spectral and cumulative thermal conductivity w.r.t frequency

../../_images/fig_cumu_mfp2400.png

(b) Spectral and cumulative thermal conductivity w.r.t MFP

Force constants

../../_images/fig_fc25685.png

(a) Force constants w.r.t atomic distance

Summary

../../_images/fig_kappa4604.png

(a) Temperature-dependent lattice thermal conductivity

../../_images/fig_times10741.png

(b) Computation time