mp-19970-2/Li3CuO3/anharm

Equation of state

../../_images/fig_bm6702.png

(a) Equation of state

Harmonic properties

../../_images/fig_bandos_pr13416.png

(a) Phonon dispersion with participation ratio and DOS

../../_images/fig_thermo13416.png

(b) Thermodynamic properties

Grüneisen parameters

../../_images/fig_gru_all5657.png

(a) Grüneisen parameters

../../_images/fig_gruneisen5657.png

(b) Phonon dispersion with Grüneisen parameters

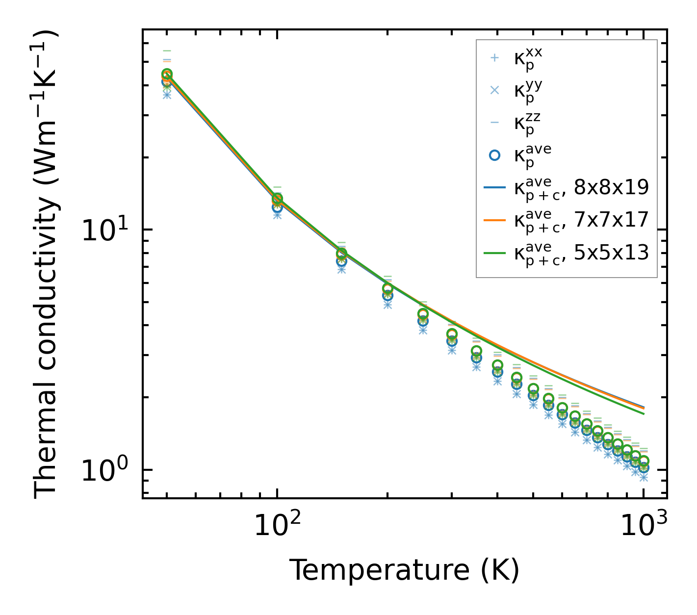
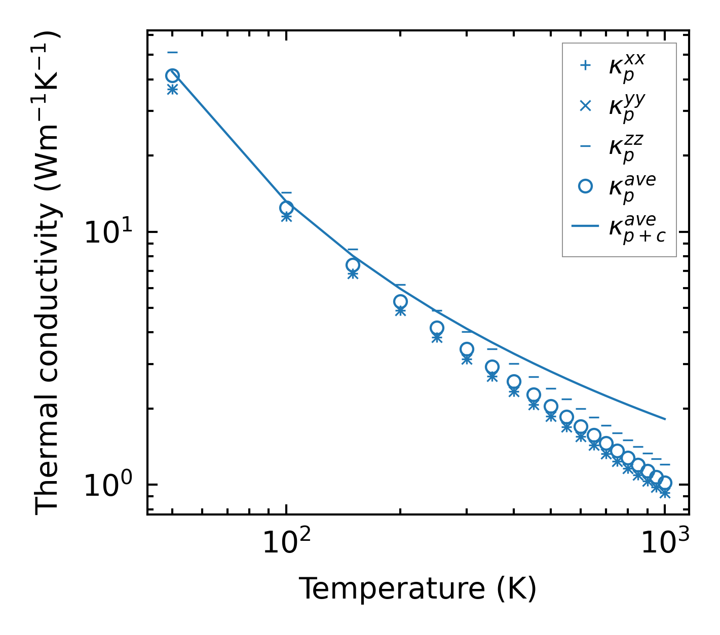
Thermal conductivity

3-phonon (LASSO) — q-mesh: 8x8x19, supercell: 1x1x3

../../_images/fig_kappa10628.png

(a) Temperature-dependent lattice thermal conductivity

../../_images/fig_kappa_vs_grain_size5722.png

(b) Peierls lattice thermal conductivity w.r.t grain size

Phonon lifetime and scattering rates

../../_images/fig_lifetime5602.png

(a) Phonon lifetime due to phonon-phonon scattering

../../_images/fig_scat_rates5601.png

(b) Phonon scattering rates

Cumulative and spectral thermal conductivity

../../_images/fig_cumu_frequency5602.png

(a) Spectral and cumulative thermal conductivity w.r.t frequency

../../_images/fig_cumu_mfp5601.png

(b) Spectral and cumulative thermal conductivity w.r.t MFP

Force constants

../../_images/fig_fc213053.png

(a) Force constants w.r.t atomic distance

Summary

../../_images/fig_kappa10629.png

(a) Temperature-dependent lattice thermal conductivity

../../_images/fig_times22596.png

(b) Computation time