mp-19965-2/K4BaU3O12/harm

Equation of state

../../_images/fig_bm6701.png

(a) Equation of state

Harmonic properties

../../_images/fig_bandos_pr13415.png

(a) Phonon dispersion with participation ratio and DOS

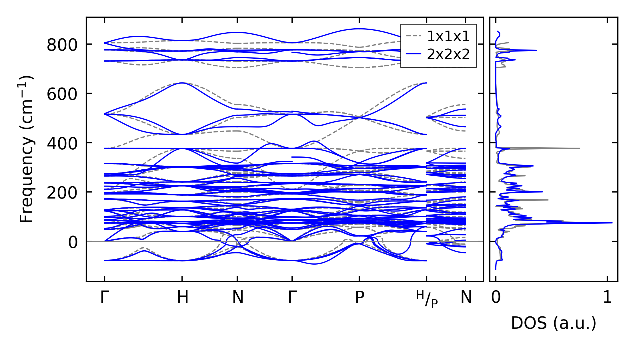
../../_images/fig_bandos17785.png

(b) Phonon dispersion and DOS

../../_images/fig_thermo13415.png

(c) Thermodynamic properties

Force constants

../../_images/fig_fc213052.png

(a) Force constants w.r.t atomic distance

Summary

../../_images/fig_times22594.png

(a) Computation time