mp-19963/TiFe2Sn/anharm

Harmonic properties

../../_images/fig_bandos_pr13413.png

(a) Phonon dispersion with participation ratio and DOS

../../_images/fig_thermo13413.png

(b) Thermodynamic properties

Grüneisen parameters

../../_images/fig_gru_all5656.png

(a) Grüneisen parameters

../../_images/fig_gruneisen5656.png

(b) Phonon dispersion with Grüneisen parameters

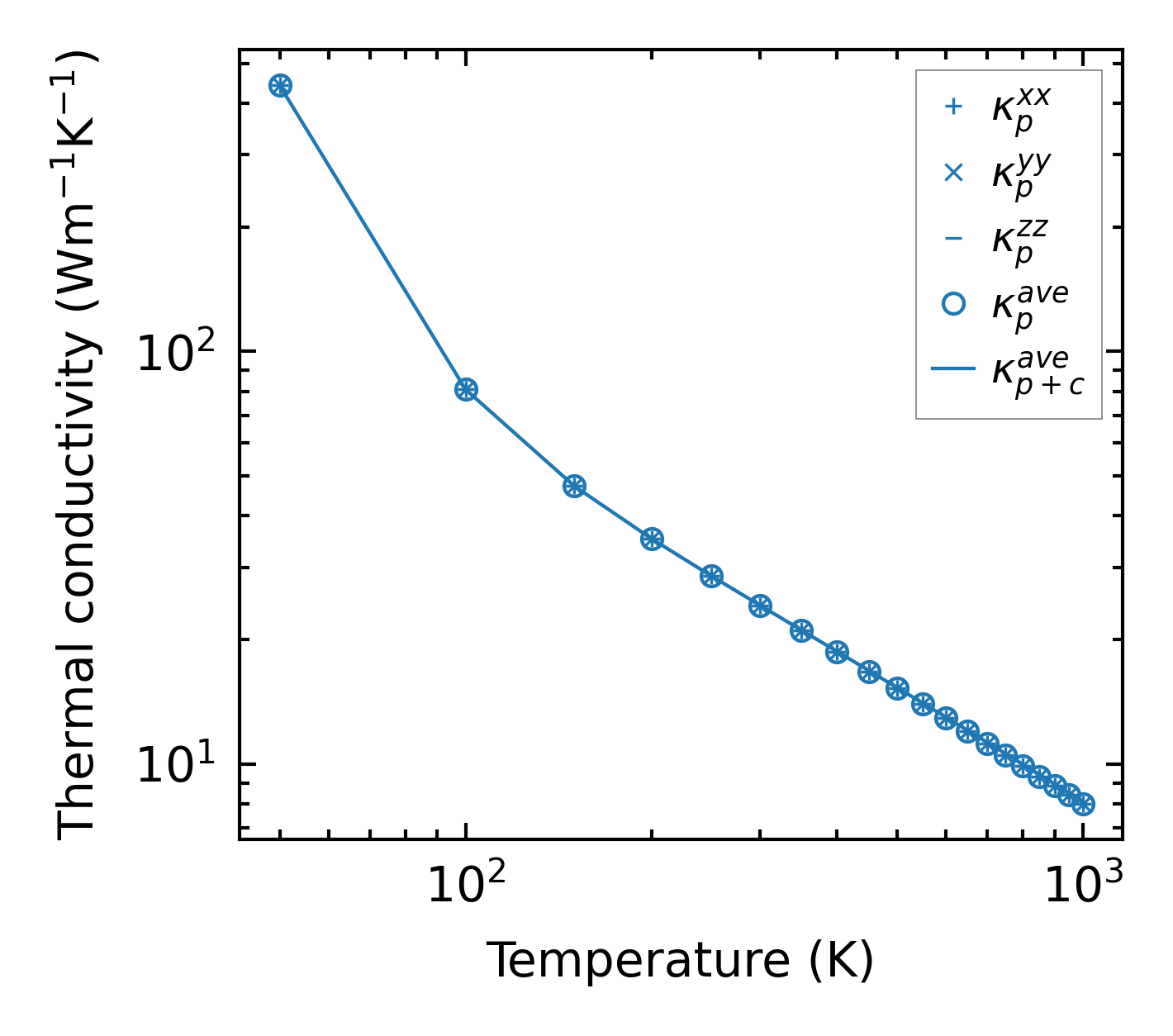
Thermal conductivity

3-phonon — q-mesh: 19x19x19, supercell: 2x2x2

../../_images/fig_kappa10626.png

(a) Temperature-dependent lattice thermal conductivity

../../_images/fig_kappa_vs_grain_size5721.png

(b) Peierls lattice thermal conductivity w.r.t grain size

Phonon lifetime and scattering rates

../../_images/fig_lifetime5601.png

(a) Phonon lifetime due to phonon-phonon scattering

../../_images/fig_scat_rates5600.png

(b) Phonon scattering rates

Cumulative and spectral thermal conductivity

../../_images/fig_cumu_frequency5601.png

(a) Spectral and cumulative thermal conductivity w.r.t frequency

../../_images/fig_cumu_mfp5600.png

(b) Spectral and cumulative thermal conductivity w.r.t MFP

Force constants

../../_images/fig_fc3363.png

(a) Force constants w.r.t atomic distance

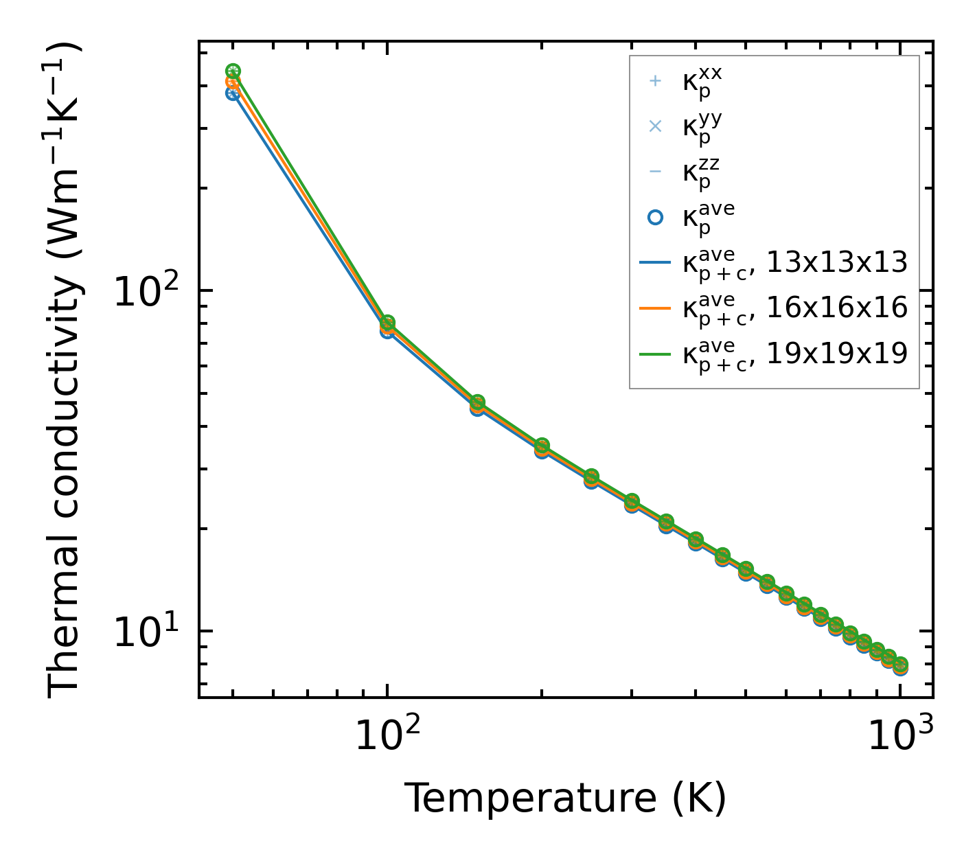
Summary

../../_images/fig_kappa10627.png

(a) Temperature-dependent lattice thermal conductivity

../../_images/fig_times22592.png

(b) Computation time