mp-19913/Ba3In2P4/anharm

Equation of state

../../_images/fig_bm6696.png

(a) Equation of state

Harmonic properties

../../_images/fig_bandos_pr13408.png

(a) Phonon dispersion with participation ratio and DOS

../../_images/fig_thermo13408.png

(b) Thermodynamic properties

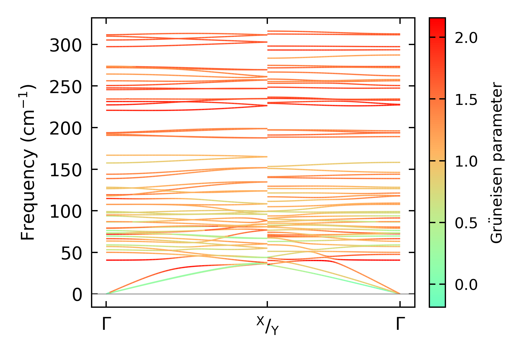
Grüneisen parameters

../../_images/fig_gru_all5654.png

(a) Grüneisen parameters

../../_images/fig_gruneisen5654.png

(b) Phonon dispersion with Grüneisen parameters

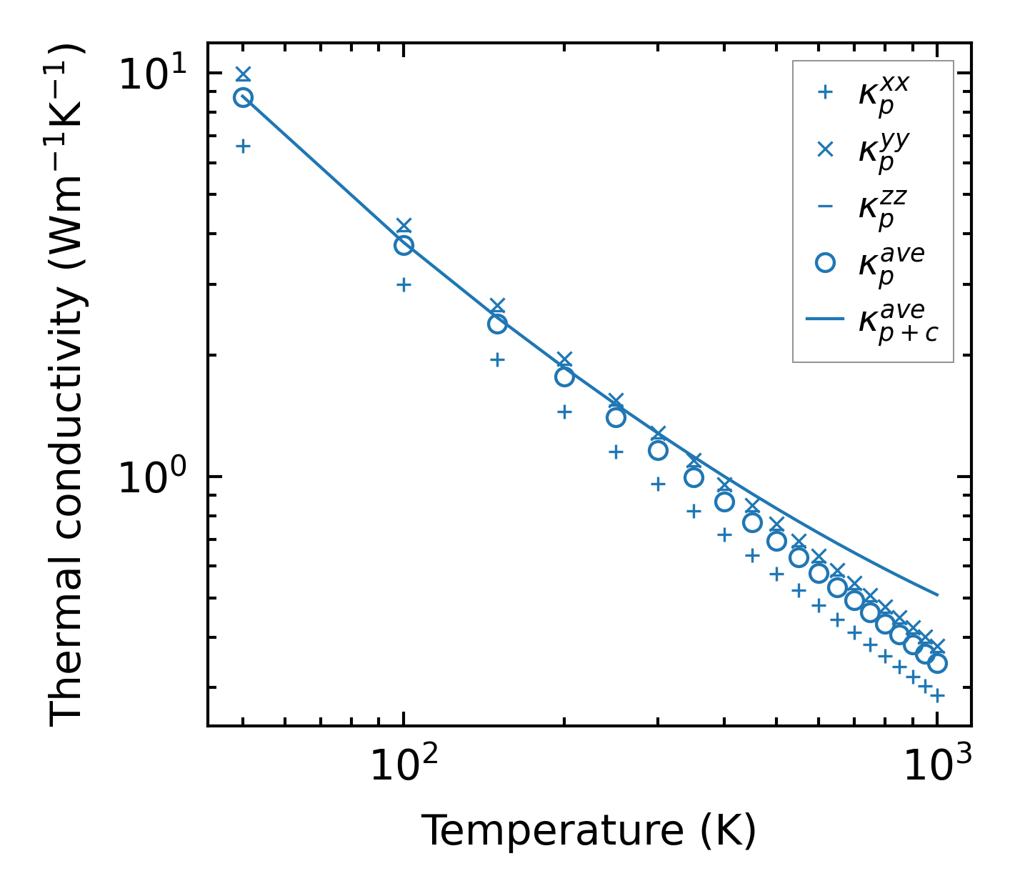
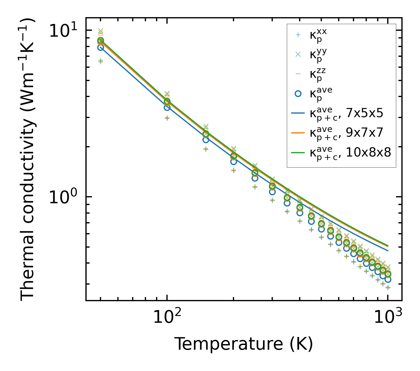
Thermal conductivity

3-phonon (LASSO) — q-mesh: 10x8x8, supercell: 2x2x2

../../_images/fig_kappa10622.png

(a) Temperature-dependent lattice thermal conductivity

../../_images/fig_kappa_vs_grain_size5719.png

(b) Peierls lattice thermal conductivity w.r.t grain size

Phonon lifetime and scattering rates

../../_images/fig_lifetime5599.png

(a) Phonon lifetime due to phonon-phonon scattering

../../_images/fig_scat_rates5598.png

(b) Phonon scattering rates

Cumulative and spectral thermal conductivity

../../_images/fig_cumu_frequency5599.png

(a) Spectral and cumulative thermal conductivity w.r.t frequency

../../_images/fig_cumu_mfp5598.png

(b) Spectral and cumulative thermal conductivity w.r.t MFP

Force constants

../../_images/fig_fc213046.png

(a) Force constants w.r.t atomic distance

Summary

../../_images/fig_kappa10623.png

(a) Temperature-dependent lattice thermal conductivity

../../_images/fig_times22581.png

(b) Computation time