mp-19932/In4Se3/anharm

Harmonic properties

../../_images/fig_bandos_pr13410.png

(a) Phonon dispersion with participation ratio and DOS

../../_images/fig_thermo13410.png

(b) Thermodynamic properties

Grüneisen parameters

../../_images/fig_gru_all5655.png

(a) Grüneisen parameters

../../_images/fig_gruneisen5655.png

(b) Phonon dispersion with Grüneisen parameters

Thermal conductivity

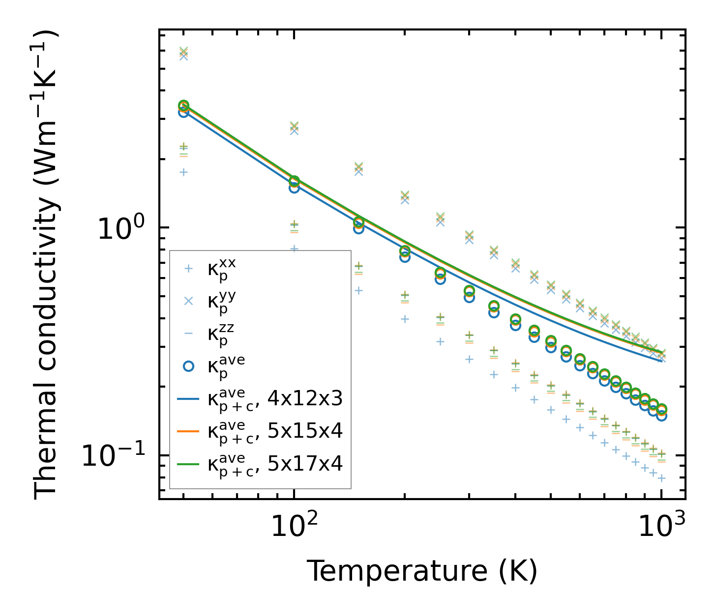
3-phonon (LASSO) — q-mesh: 5x17x4, supercell: 1x4x1

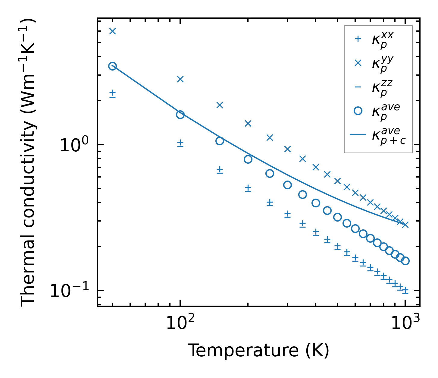
../../_images/fig_kappa10624.png

(a) Temperature-dependent lattice thermal conductivity

../../_images/fig_kappa_vs_grain_size5720.png

(b) Peierls lattice thermal conductivity w.r.t grain size

Phonon lifetime and scattering rates

../../_images/fig_lifetime5600.png

(a) Phonon lifetime due to phonon-phonon scattering

../../_images/fig_scat_rates5599.png

(b) Phonon scattering rates

Cumulative and spectral thermal conductivity

../../_images/fig_cumu_frequency5600.png

(a) Spectral and cumulative thermal conductivity w.r.t frequency

../../_images/fig_cumu_mfp5599.png

(b) Spectral and cumulative thermal conductivity w.r.t MFP

Force constants

../../_images/fig_fc213048.png

(a) Force constants w.r.t atomic distance

Summary

../../_images/fig_kappa10625.png

(a) Temperature-dependent lattice thermal conductivity

../../_images/fig_times22585.png

(b) Computation time