mp-19784-2/In2Si2O7/anharm

Harmonic properties

../../_images/fig_bandos_pr13394.png

(a) Phonon dispersion with participation ratio and DOS

../../_images/fig_bandos17759.png

(b) Phonon dispersion and DOS

../../_images/fig_thermo13394.png

(c) Thermodynamic properties

Grüneisen parameters

../../_images/fig_gru_all5645.png

(a) Grüneisen parameters

../../_images/fig_gruneisen5645.png

(b) Phonon dispersion with Grüneisen parameters

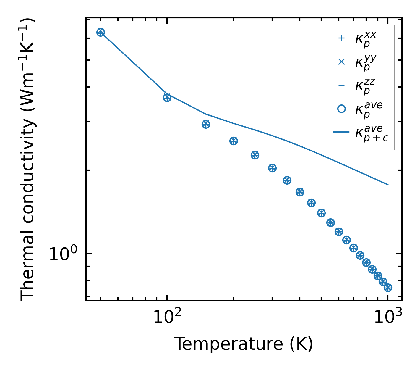
Thermal conductivity

3-phonon (LASSO) — q-mesh: 12x12x12, supercell: 1x1x1

../../_images/fig_kappa10606.png

(a) Temperature-dependent lattice thermal conductivity

../../_images/fig_kappa_vs_grain_size5710.png

(b) Peierls lattice thermal conductivity w.r.t grain size

Phonon lifetime and scattering rates

../../_images/fig_lifetime5590.png

(a) Phonon lifetime due to phonon-phonon scattering

../../_images/fig_scat_rates5589.png

(b) Phonon scattering rates

Cumulative and spectral thermal conductivity

../../_images/fig_cumu_frequency5590.png

(a) Spectral and cumulative thermal conductivity w.r.t frequency

../../_images/fig_cumu_mfp5589.png

(b) Spectral and cumulative thermal conductivity w.r.t MFP

Force constants

../../_images/fig_fc213033.png

(a) Force constants w.r.t atomic distance

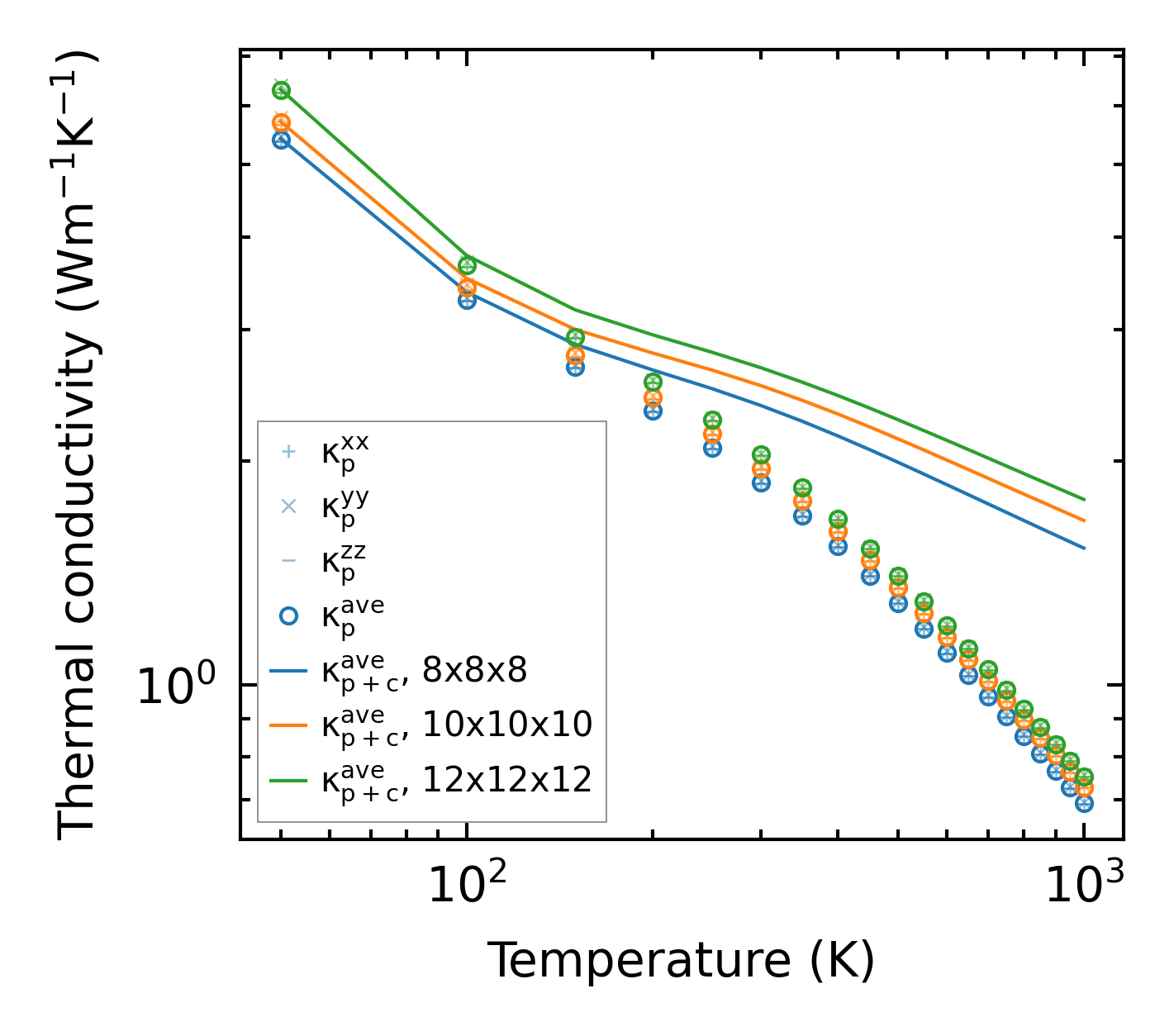
Summary

../../_images/fig_kappa10607.png

(a) Temperature-dependent lattice thermal conductivity

../../_images/fig_times22559.png

(b) Computation time