mp-19717/TePb/anharm

Harmonic properties

../../_images/fig_bandos_pr13387.png

(a) Phonon dispersion with participation ratio and DOS

../../_images/fig_thermo13387.png

(b) Thermodynamic properties

Grüneisen parameters

../../_images/fig_gru_all5641.png

(a) Grüneisen parameters

../../_images/fig_gruneisen5641.png

(b) Phonon dispersion with Grüneisen parameters

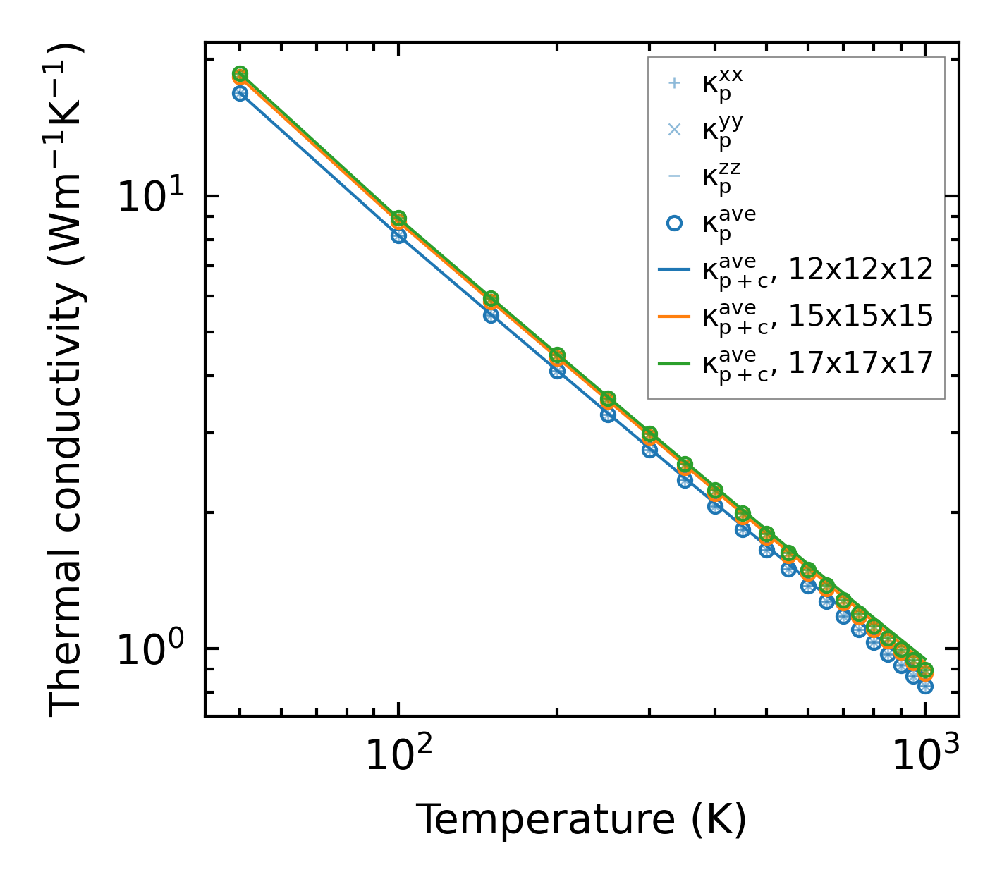
Thermal conductivity

3-phonon — q-mesh: 17x17x17, supercell: 2x2x2

../../_images/fig_kappa10598.png

(a) Temperature-dependent lattice thermal conductivity

../../_images/fig_kappa_vs_grain_size5705.png

(b) Peierls lattice thermal conductivity w.r.t grain size

Phonon lifetime and scattering rates

../../_images/fig_lifetime5586.png

(a) Phonon lifetime due to phonon-phonon scattering

../../_images/fig_scat_rates5585.png

(b) Phonon scattering rates

Cumulative and spectral thermal conductivity

../../_images/fig_cumu_frequency5586.png

(a) Spectral and cumulative thermal conductivity w.r.t frequency

../../_images/fig_cumu_mfp5585.png

(b) Spectral and cumulative thermal conductivity w.r.t MFP

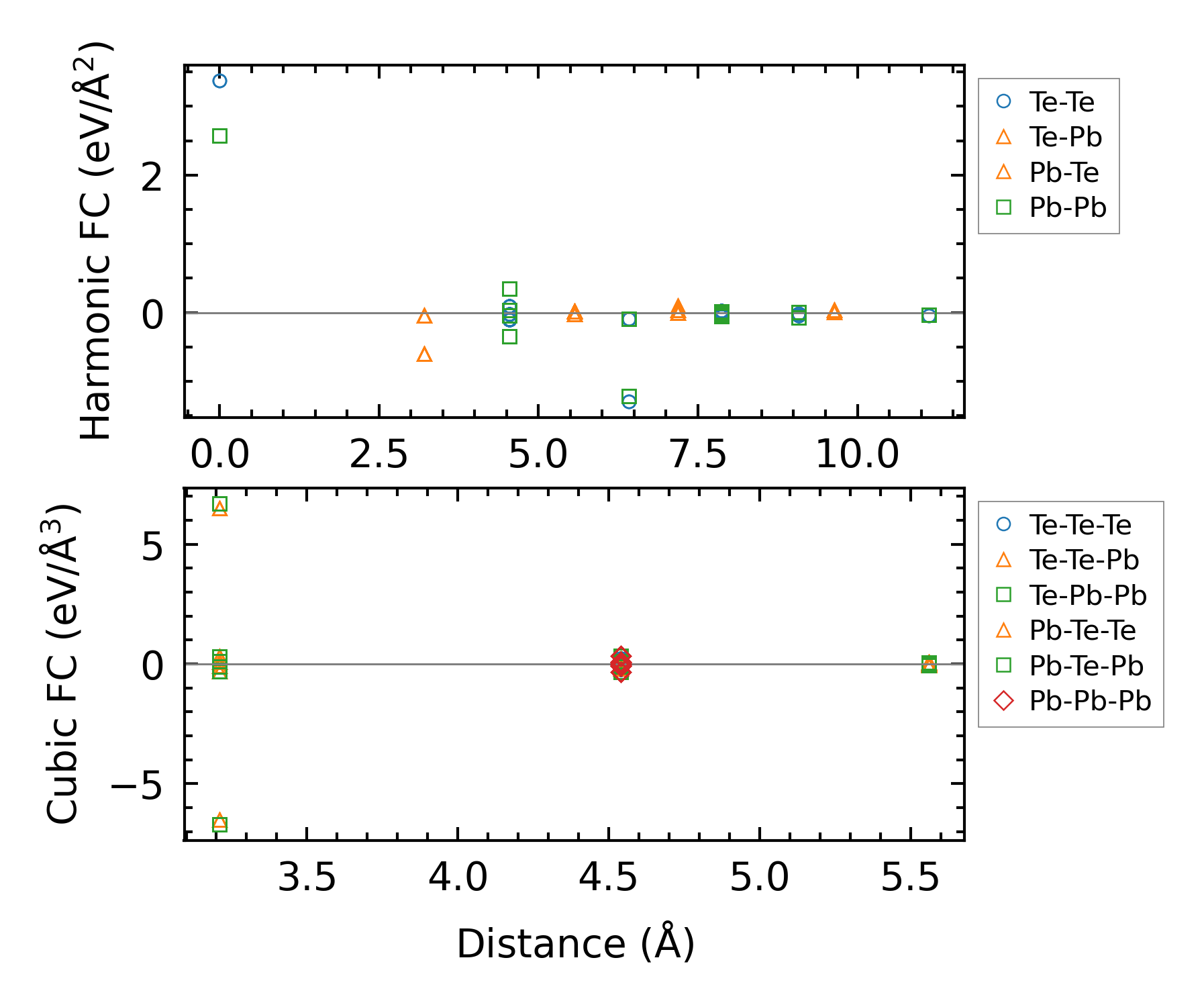
Force constants

../../_images/fig_fc3361.png

(a) Force constants w.r.t atomic distance

Summary

../../_images/fig_kappa10599.png

(a) Temperature-dependent lattice thermal conductivity

../../_images/fig_times22551.png

(b) Computation time