mp-19023/YbCrO4/anharm

Harmonic properties

../../_images/fig_bandos_pr13665.png

(a) Phonon dispersion with participation ratio and DOS

../../_images/fig_thermo13665.png

(b) Thermodynamic properties

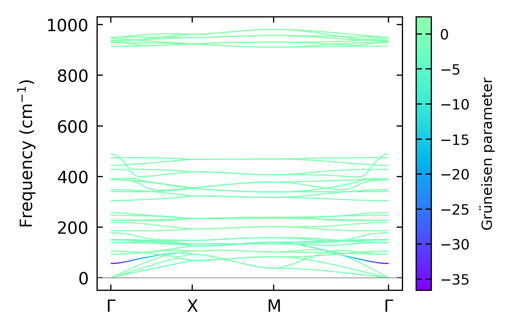
Grüneisen parameters

../../_images/fig_gru_all5770.png

(a) Grüneisen parameters

../../_images/fig_gruneisen5770.png

(b) Phonon dispersion with Grüneisen parameters

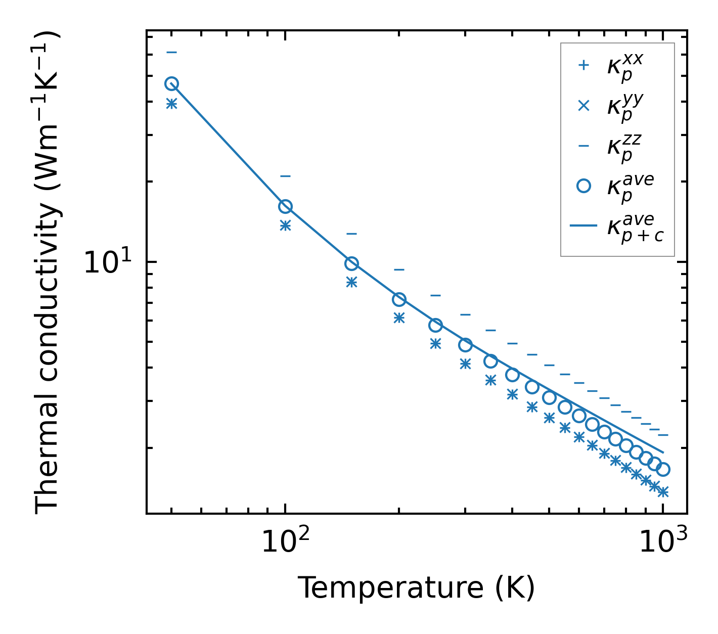
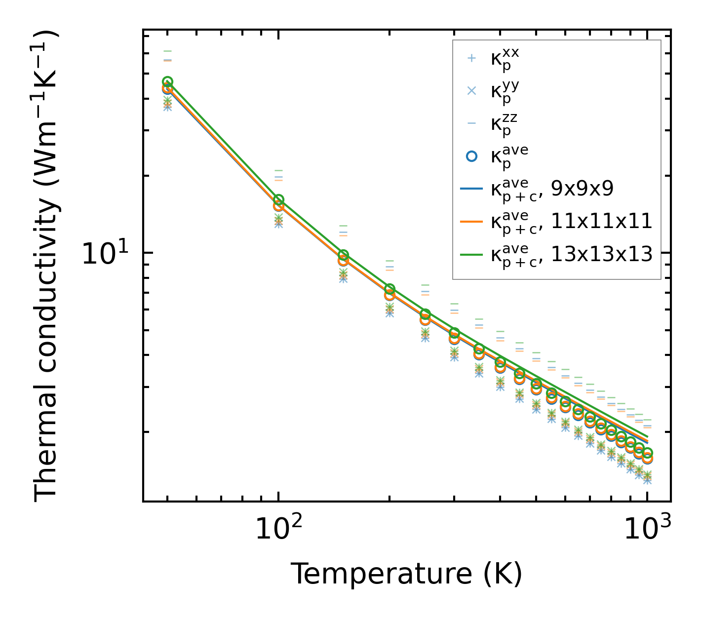
Thermal conductivity

3-phonon (LASSO) — q-mesh: 13x13x13, supercell: 1x1x2

../../_images/fig_kappa10851.png

(a) Temperature-dependent lattice thermal conductivity

../../_images/fig_kappa_vs_grain_size5841.png

(b) Peierls lattice thermal conductivity w.r.t grain size

Phonon lifetime and scattering rates

../../_images/fig_lifetime5715.png

(a) Phonon lifetime due to phonon-phonon scattering

../../_images/fig_scat_rates5714.png

(b) Phonon scattering rates

Cumulative and spectral thermal conductivity

../../_images/fig_cumu_frequency5715.png

(a) Spectral and cumulative thermal conductivity w.r.t frequency

../../_images/fig_cumu_mfp5714.png

(b) Spectral and cumulative thermal conductivity w.r.t MFP

Force constants

../../_images/fig_fc213293.png

(a) Force constants w.r.t atomic distance

Summary

../../_images/fig_kappa10852.png

(a) Temperature-dependent lattice thermal conductivity

../../_images/fig_times22946.png

(b) Computation time