mp-19734/MgPbF6/anharm

Harmonic properties

../../_images/fig_bandos_pr13389.png

(a) Phonon dispersion with participation ratio and DOS

../../_images/fig_thermo13389.png

(b) Thermodynamic properties

Grüneisen parameters

../../_images/fig_gru_all5642.png

(a) Grüneisen parameters

../../_images/fig_gruneisen5642.png

(b) Phonon dispersion with Grüneisen parameters

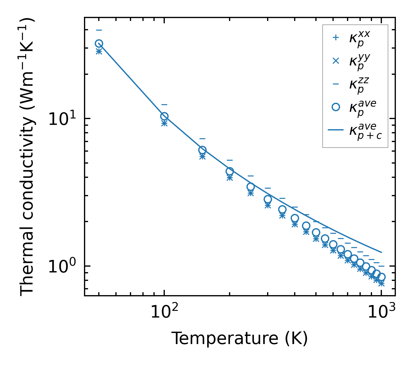
Thermal conductivity

3-phonon (LASSO) — q-mesh: 14x14x14, supercell: 2x2x1

../../_images/fig_kappa10600.png

(a) Temperature-dependent lattice thermal conductivity

../../_images/fig_kappa_vs_grain_size5706.png

(b) Peierls lattice thermal conductivity w.r.t grain size

Phonon lifetime and scattering rates

../../_images/fig_lifetime5587.png

(a) Phonon lifetime due to phonon-phonon scattering

../../_images/fig_scat_rates5586.png

(b) Phonon scattering rates

Cumulative and spectral thermal conductivity

../../_images/fig_cumu_frequency5587.png

(a) Spectral and cumulative thermal conductivity w.r.t frequency

../../_images/fig_cumu_mfp5586.png

(b) Spectral and cumulative thermal conductivity w.r.t MFP

Force constants

../../_images/fig_fc213028.png

(a) Force constants w.r.t atomic distance

Summary

../../_images/fig_kappa10601.png

(a) Temperature-dependent lattice thermal conductivity

../../_images/fig_times22554.png

(b) Computation time