mp-19295/LuVO4/anharm

Harmonic properties

../../_images/fig_bandos_pr13717.png

(a) Phonon dispersion with participation ratio and DOS

../../_images/fig_thermo13717.png

(b) Thermodynamic properties

Grüneisen parameters

../../_images/fig_gru_all5786.png

(a) Grüneisen parameters

../../_images/fig_gruneisen5786.png

(b) Phonon dispersion with Grüneisen parameters

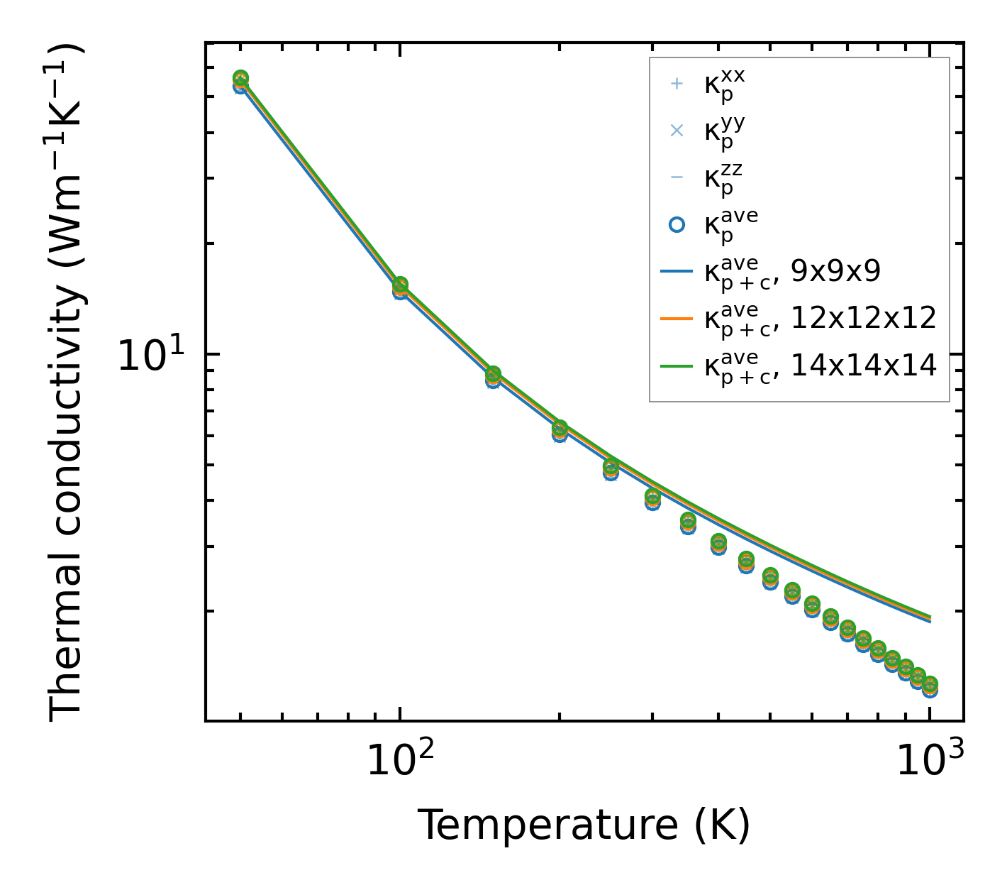
Thermal conductivity

3-phonon (LASSO) — q-mesh: 14x14x14, supercell: 2x2x1

../../_images/fig_kappa10881.png

(a) Temperature-dependent lattice thermal conductivity

../../_images/fig_kappa_vs_grain_size5857.png

(b) Peierls lattice thermal conductivity w.r.t grain size

Phonon lifetime and scattering rates

../../_images/fig_lifetime5731.png

(a) Phonon lifetime due to phonon-phonon scattering

../../_images/fig_scat_rates5730.png

(b) Phonon scattering rates

Cumulative and spectral thermal conductivity

../../_images/fig_cumu_frequency5731.png

(a) Spectral and cumulative thermal conductivity w.r.t frequency

../../_images/fig_cumu_mfp5730.png

(b) Spectral and cumulative thermal conductivity w.r.t MFP

Force constants

../../_images/fig_fc213345.png

(a) Force constants w.r.t atomic distance

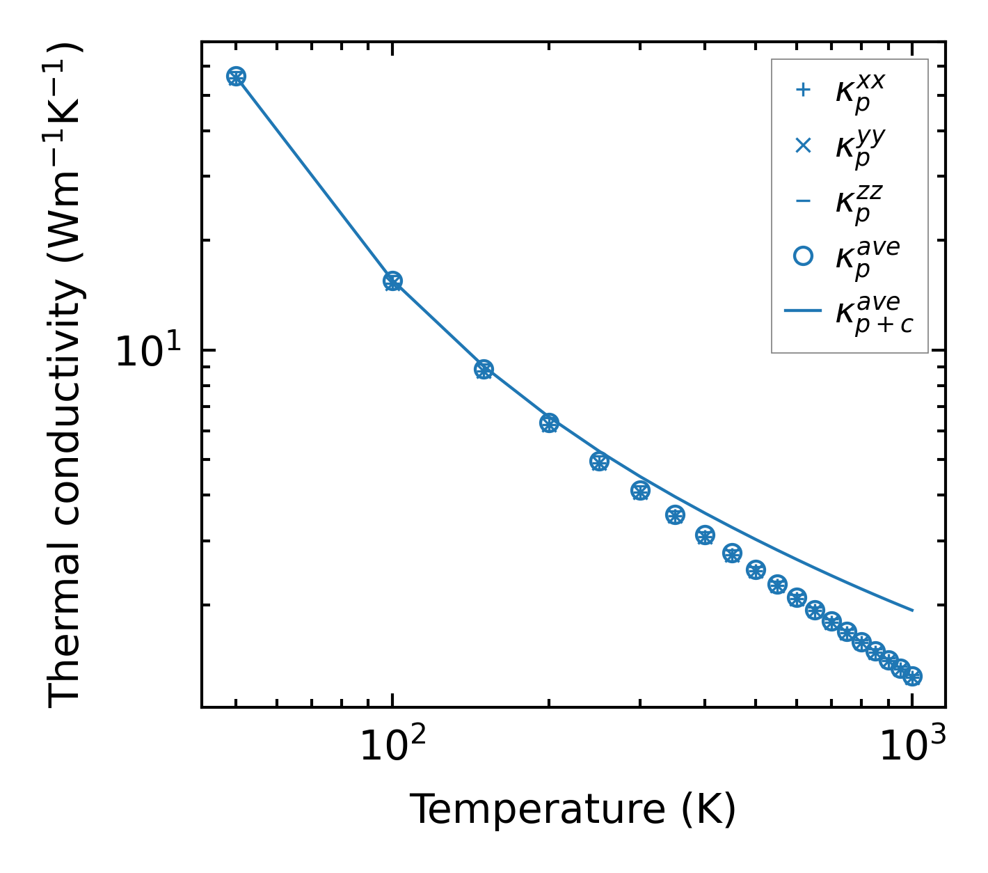
Summary

../../_images/fig_kappa10882.png

(a) Temperature-dependent lattice thermal conductivity

../../_images/fig_times23011.png

(b) Computation time