mp-1192000/CsH3AuN/anharm

Harmonic properties

../../_images/fig_bandos_pr15764.png

(a) Phonon dispersion with participation ratio and DOS

../../_images/fig_thermo15763.png

(b) Thermodynamic properties

Grüneisen parameters

../../_images/fig_gru_all6829.png

(a) Grüneisen parameters

../../_images/fig_gruneisen6829.png

(b) Phonon dispersion with Grüneisen parameters

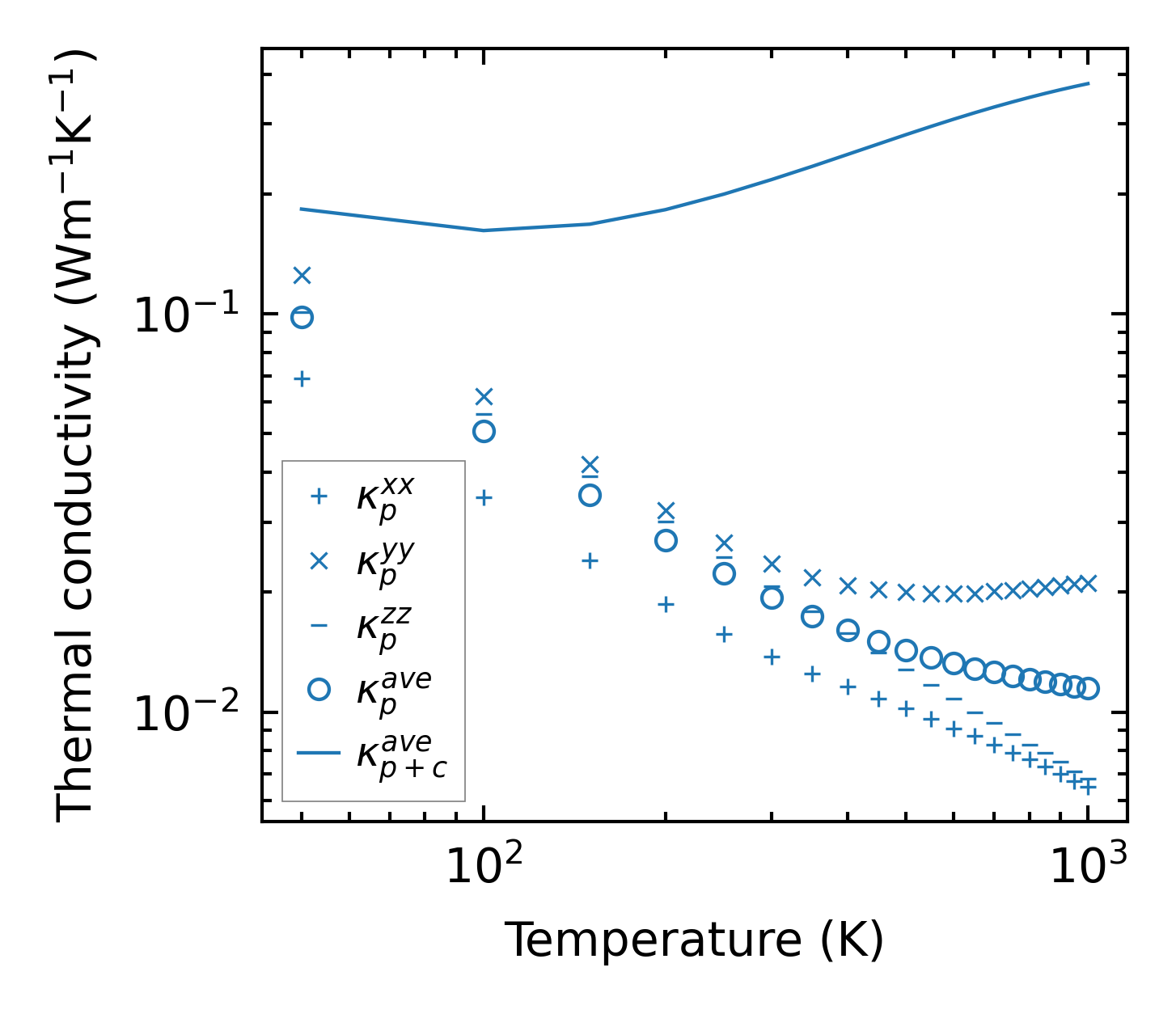
Thermal conductivity

3-phonon (LASSO) — q-mesh: 14x14x4, supercell: 1x2x1

../../_images/fig_kappa12860.png

(a) Temperature-dependent lattice thermal conductivity

../../_images/fig_kappa_vs_grain_size6909.png

(b) Peierls lattice thermal conductivity w.r.t grain size

Phonon lifetime and scattering rates

../../_images/fig_lifetime6763.png

(a) Phonon lifetime due to phonon-phonon scattering

../../_images/fig_scat_rates6762.png

(b) Phonon scattering rates

Cumulative and spectral thermal conductivity

../../_images/fig_cumu_frequency6763.png

(a) Spectral and cumulative thermal conductivity w.r.t frequency

../../_images/fig_cumu_mfp6762.png

(b) Spectral and cumulative thermal conductivity w.r.t MFP

Force constants

../../_images/fig_fc215359.png

(a) Force constants w.r.t atomic distance

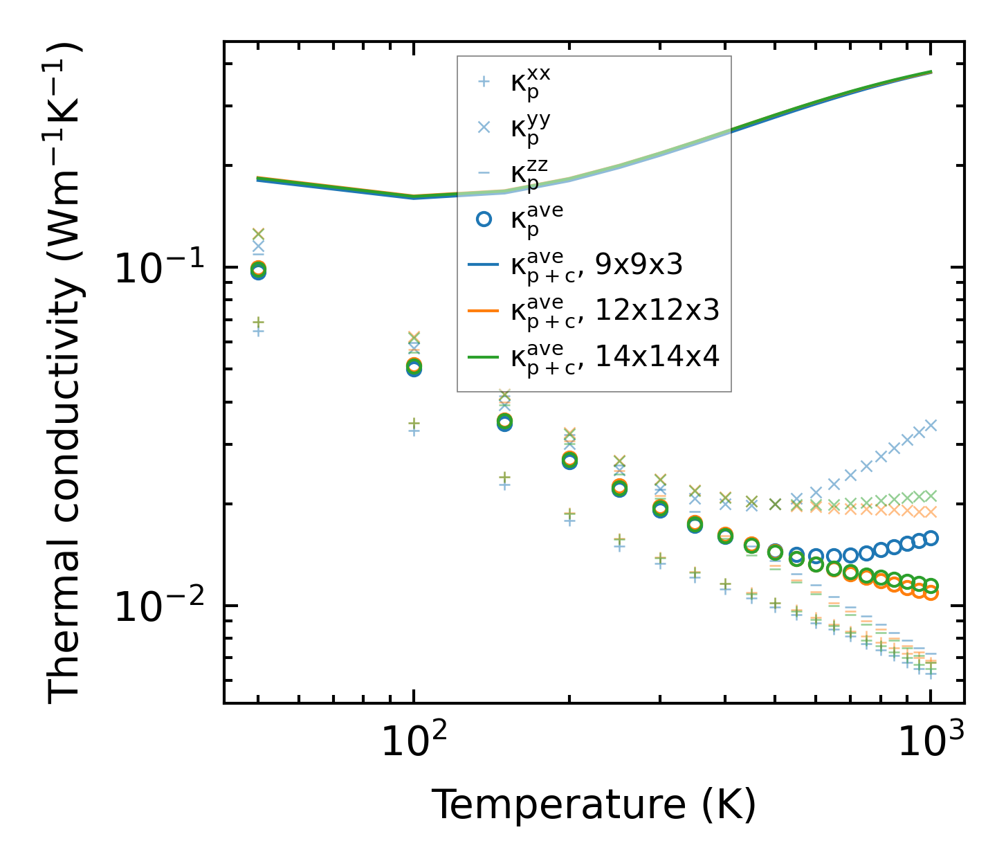
Summary

../../_images/fig_kappa12861.png

(a) Temperature-dependent lattice thermal conductivity

../../_images/fig_times25961.png

(b) Computation time