mp-1191492/LaPS/anharm

Harmonic properties

../../_images/fig_bandos_pr15733.png

(a) Phonon dispersion with participation ratio and DOS

../../_images/fig_thermo15732.png

(b) Thermodynamic properties

Grüneisen parameters

../../_images/fig_gru_all6812.png

(a) Grüneisen parameters

../../_images/fig_gruneisen6812.png

(b) Phonon dispersion with Grüneisen parameters

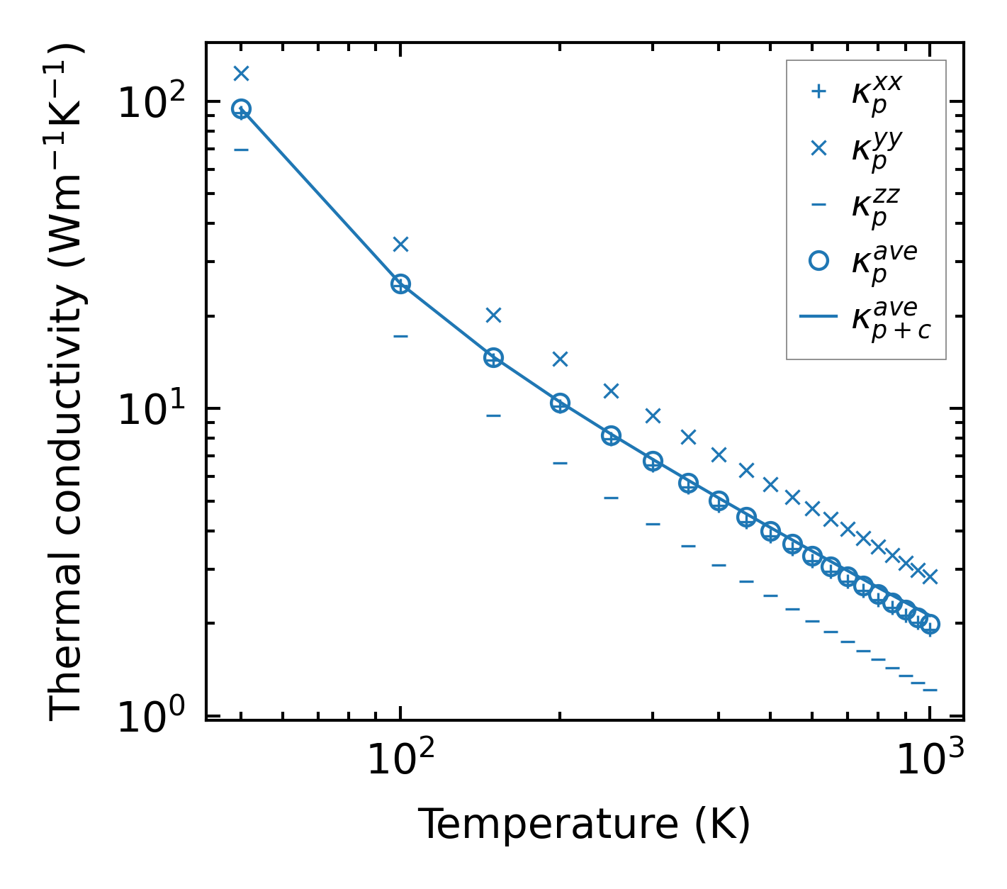
Thermal conductivity

3-phonon (LASSO) — q-mesh: 12x12x4, supercell: 2x3x1

../../_images/fig_kappa12831.png

(a) Temperature-dependent lattice thermal conductivity

../../_images/fig_kappa_vs_grain_size6892.png

(b) Peierls lattice thermal conductivity w.r.t grain size

Phonon lifetime and scattering rates

../../_images/fig_lifetime6746.png

(a) Phonon lifetime due to phonon-phonon scattering

../../_images/fig_scat_rates6745.png

(b) Phonon scattering rates

Cumulative and spectral thermal conductivity

../../_images/fig_cumu_frequency6746.png

(a) Spectral and cumulative thermal conductivity w.r.t frequency

../../_images/fig_cumu_mfp6745.png

(b) Spectral and cumulative thermal conductivity w.r.t MFP

Force constants

../../_images/fig_fc215328.png

(a) Force constants w.r.t atomic distance

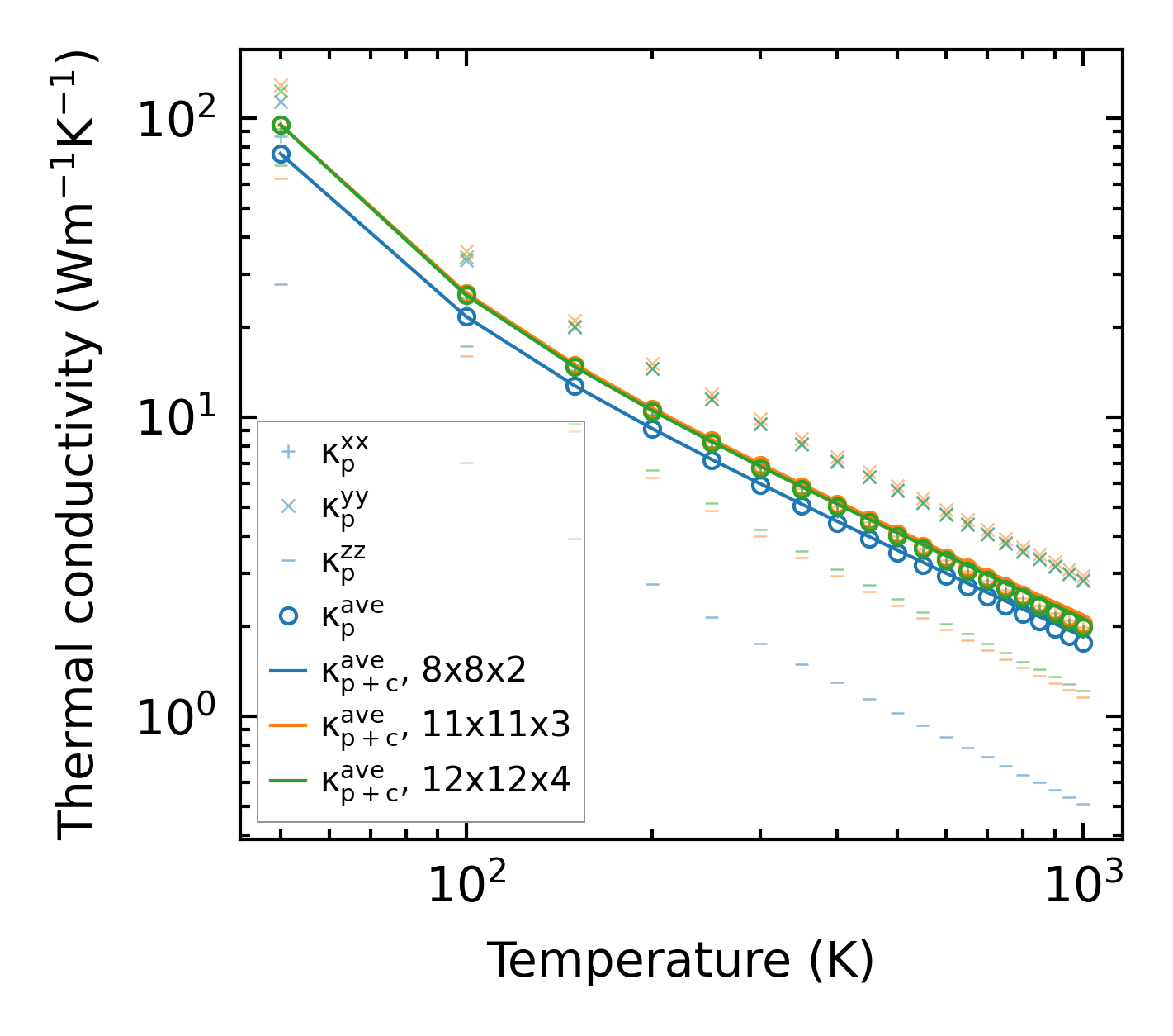
Summary

../../_images/fig_kappa12832.png

(a) Temperature-dependent lattice thermal conductivity

../../_images/fig_times25916.png

(b) Computation time