mp-1191371/TmCrB4/anharm

Harmonic properties

../../_images/fig_bandos_pr15728.png

(a) Phonon dispersion with participation ratio and DOS

../../_images/fig_thermo15727.png

(b) Thermodynamic properties

Grüneisen parameters

../../_images/fig_gru_all6810.png

(a) Grüneisen parameters

../../_images/fig_gruneisen6810.png

(b) Phonon dispersion with Grüneisen parameters

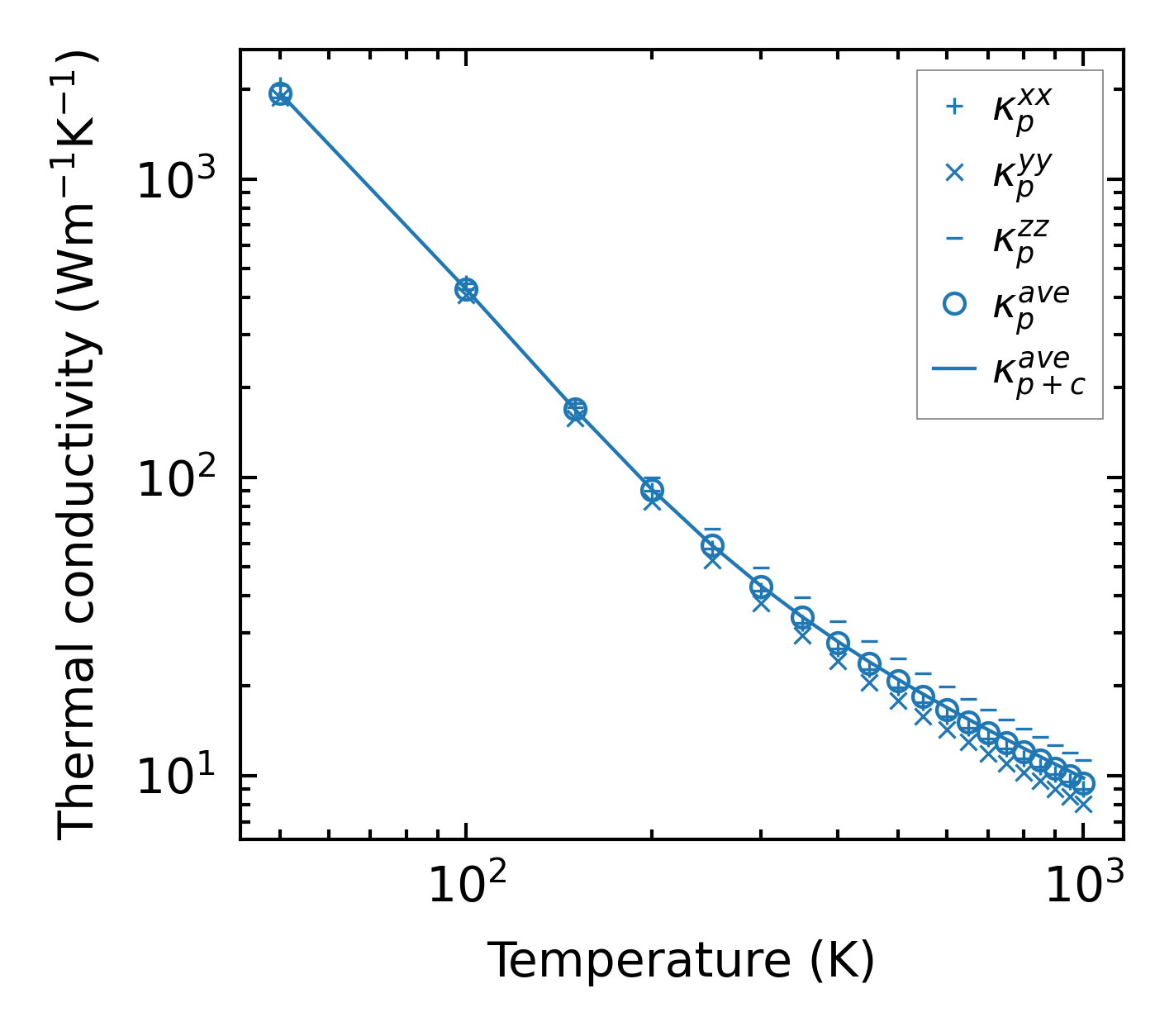
Thermal conductivity

3-phonon (LASSO) — q-mesh: 12x6x21, supercell: 2x1x3

../../_images/fig_kappa12828.png

(a) Temperature-dependent lattice thermal conductivity

../../_images/fig_kappa_vs_grain_size6890.png

(b) Peierls lattice thermal conductivity w.r.t grain size

Phonon lifetime and scattering rates

../../_images/fig_lifetime6744.png

(a) Phonon lifetime due to phonon-phonon scattering

../../_images/fig_scat_rates6743.png

(b) Phonon scattering rates

Cumulative and spectral thermal conductivity

../../_images/fig_cumu_frequency6744.png

(a) Spectral and cumulative thermal conductivity w.r.t frequency

../../_images/fig_cumu_mfp6743.png

(b) Spectral and cumulative thermal conductivity w.r.t MFP

Force constants

../../_images/fig_fc215323.png

(a) Force constants w.r.t atomic distance

Summary

../../_images/fig_kappa12829.png

(a) Temperature-dependent lattice thermal conductivity

../../_images/fig_times25909.png

(b) Computation time