mp-1191092/Ba2NaCu3S5/anharm

Harmonic properties

../../_images/fig_bandos_pr16052.png

(a) Phonon dispersion with participation ratio and DOS

../../_images/fig_bandos20469.png

(b) Phonon dispersion and DOS

../../_images/fig_thermo16051.png

(c) Thermodynamic properties

Grüneisen parameters

../../_images/fig_gru_all6964.png

(a) Grüneisen parameters

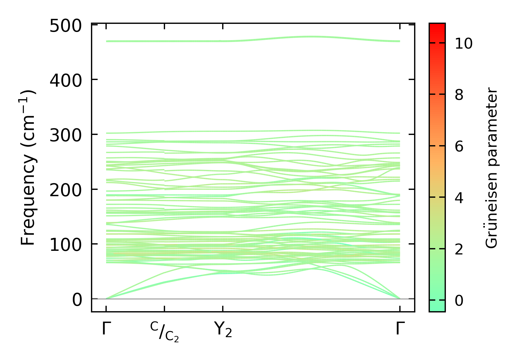
../../_images/fig_gruneisen6964.png

(b) Phonon dispersion with Grüneisen parameters

Thermal conductivity

3-phonon (LASSO) — q-mesh: 9x9x8, supercell: 1x2x1

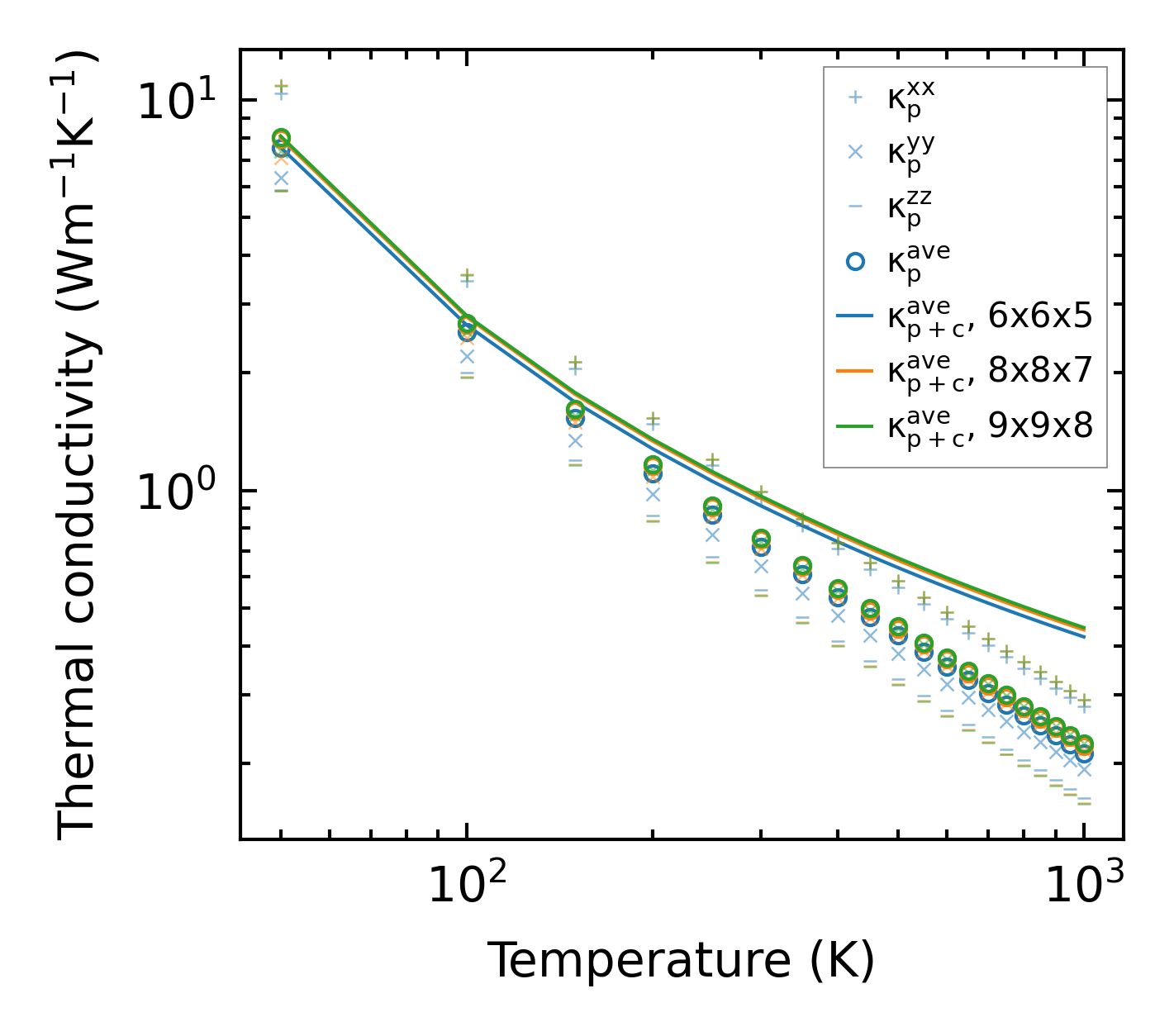
../../_images/fig_kappa13109.png

(a) Temperature-dependent lattice thermal conductivity

../../_images/fig_kappa_vs_grain_size7046.png

(b) Peierls lattice thermal conductivity w.r.t grain size

Phonon lifetime and scattering rates

../../_images/fig_lifetime6898.png

(a) Phonon lifetime due to phonon-phonon scattering

../../_images/fig_scat_rates6897.png

(b) Phonon scattering rates

Cumulative and spectral thermal conductivity

../../_images/fig_cumu_frequency6898.png

(a) Spectral and cumulative thermal conductivity w.r.t frequency

../../_images/fig_cumu_mfp6897.png

(b) Spectral and cumulative thermal conductivity w.r.t MFP

Force constants

../../_images/fig_fc215647.png

(a) Force constants w.r.t atomic distance

Summary

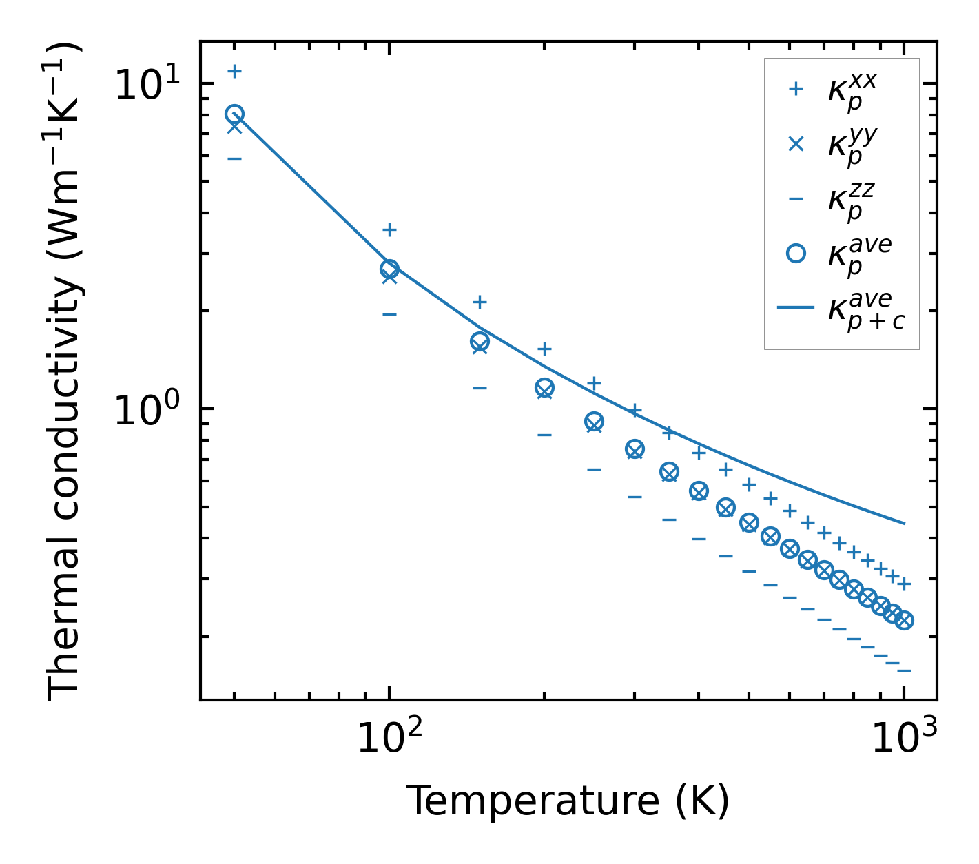
../../_images/fig_kappa13110.png

(a) Temperature-dependent lattice thermal conductivity

../../_images/fig_times26412.png

(b) Computation time