mp-1191554-3/CsRbC2/anharm

Harmonic properties

../../_images/fig_bandos_pr15738.png

(a) Phonon dispersion with participation ratio and DOS

../../_images/fig_thermo15737.png

(b) Thermodynamic properties

Grüneisen parameters

../../_images/fig_gru_all6816.png

(a) Grüneisen parameters

../../_images/fig_gruneisen6816.png

(b) Phonon dispersion with Grüneisen parameters

Thermal conductivity

3-phonon (LASSO) — q-mesh: 8x12x7, supercell: 2x2x2

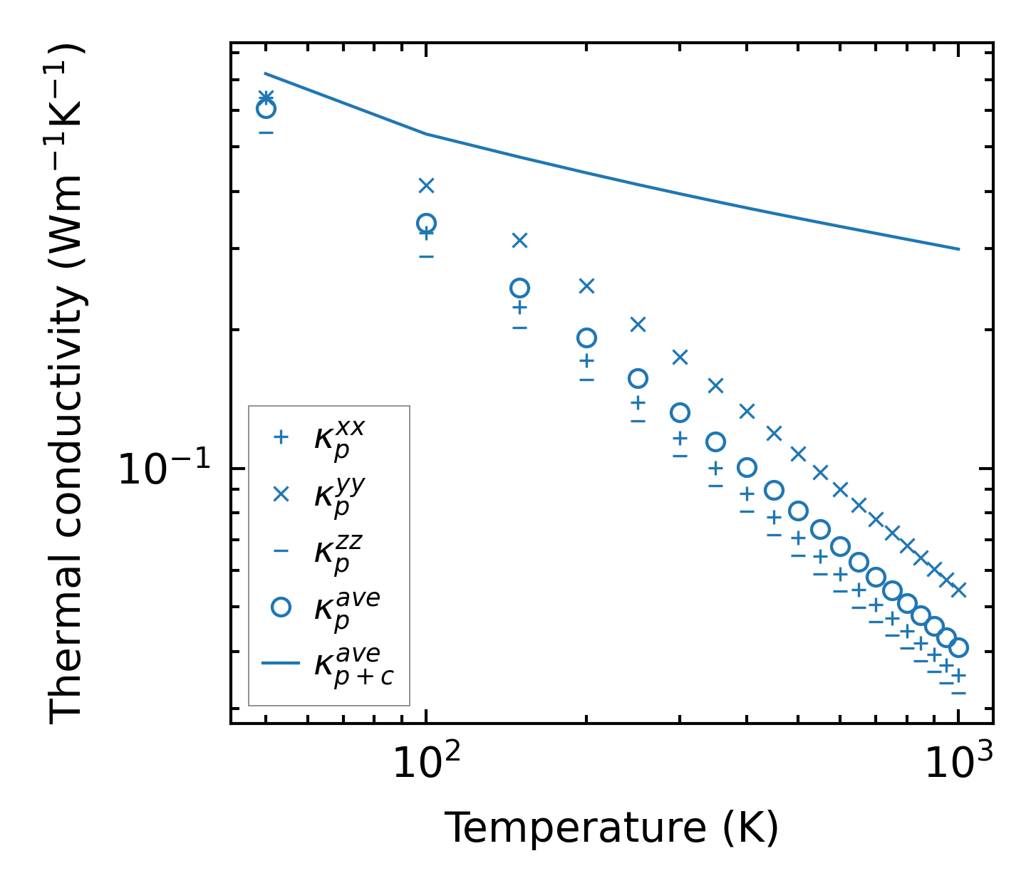
../../_images/fig_kappa12839.png

(a) Temperature-dependent lattice thermal conductivity

../../_images/fig_kappa_vs_grain_size6896.png

(b) Peierls lattice thermal conductivity w.r.t grain size

Phonon lifetime and scattering rates

../../_images/fig_lifetime6750.png

(a) Phonon lifetime due to phonon-phonon scattering

../../_images/fig_scat_rates6749.png

(b) Phonon scattering rates

Cumulative and spectral thermal conductivity

../../_images/fig_cumu_frequency6750.png

(a) Spectral and cumulative thermal conductivity w.r.t frequency

../../_images/fig_cumu_mfp6749.png

(b) Spectral and cumulative thermal conductivity w.r.t MFP

Force constants

../../_images/fig_fc215333.png

(a) Force constants w.r.t atomic distance

Summary

../../_images/fig_kappa12840.png

(a) Temperature-dependent lattice thermal conductivity

../../_images/fig_times25922.png

(b) Computation time