mp-1191554/CsRbC2/anharm

Harmonic properties

../../_images/fig_bandos_pr15736.png

(a) Phonon dispersion with participation ratio and DOS

../../_images/fig_thermo15735.png

(b) Thermodynamic properties

Grüneisen parameters

../../_images/fig_gru_all6814.png

(a) Grüneisen parameters

../../_images/fig_gruneisen6814.png

(b) Phonon dispersion with Grüneisen parameters

Thermal conductivity

3-phonon (LASSO) — q-mesh: 8x12x7, supercell: 2x2x2

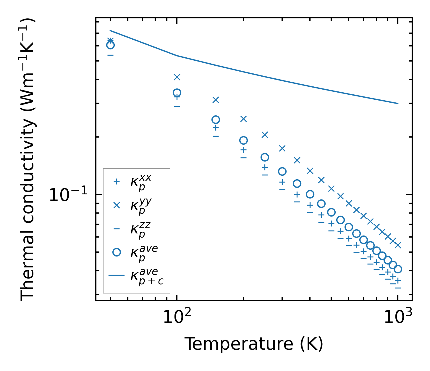
../../_images/fig_kappa12835.png

(a) Temperature-dependent lattice thermal conductivity

../../_images/fig_kappa_vs_grain_size6894.png

(b) Peierls lattice thermal conductivity w.r.t grain size

Phonon lifetime and scattering rates

../../_images/fig_lifetime6748.png

(a) Phonon lifetime due to phonon-phonon scattering

../../_images/fig_scat_rates6747.png

(b) Phonon scattering rates

Cumulative and spectral thermal conductivity

../../_images/fig_cumu_frequency6748.png

(a) Spectral and cumulative thermal conductivity w.r.t frequency

../../_images/fig_cumu_mfp6747.png

(b) Spectral and cumulative thermal conductivity w.r.t MFP

Force constants

../../_images/fig_fc215331.png

(a) Force constants w.r.t atomic distance

Summary

../../_images/fig_kappa12836.png

(a) Temperature-dependent lattice thermal conductivity

../../_images/fig_times25920.png

(b) Computation time