mp-1191012/CaB2H8/anharm

Harmonic properties

../../_images/fig_bandos_pr16044.png

(a) Phonon dispersion with participation ratio and DOS

../../_images/fig_thermo16043.png

(b) Thermodynamic properties

Grüneisen parameters

../../_images/fig_gru_all6960.png

(a) Grüneisen parameters

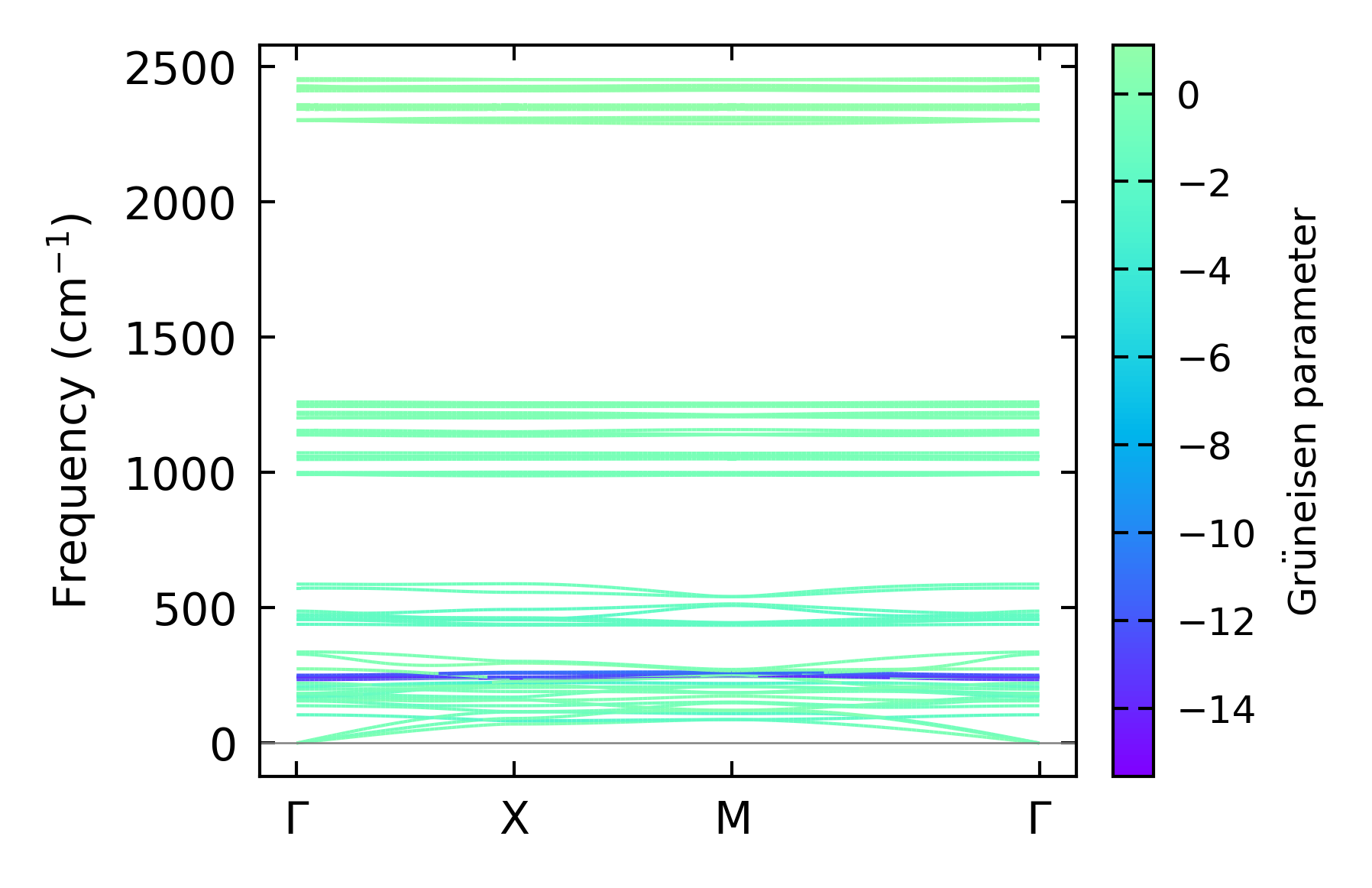
../../_images/fig_gruneisen6960.png

(b) Phonon dispersion with Grüneisen parameters

Thermal conductivity

3-phonon (LASSO) — q-mesh: 11x11x16, supercell: 1x1x2

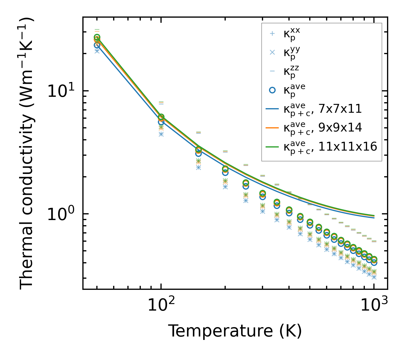
../../_images/fig_kappa13101.png

(a) Temperature-dependent lattice thermal conductivity

../../_images/fig_kappa_vs_grain_size7041.png

(b) Peierls lattice thermal conductivity w.r.t grain size

Phonon lifetime and scattering rates

../../_images/fig_lifetime6894.png

(a) Phonon lifetime due to phonon-phonon scattering

../../_images/fig_scat_rates6893.png

(b) Phonon scattering rates

Cumulative and spectral thermal conductivity

../../_images/fig_cumu_frequency6894.png

(a) Spectral and cumulative thermal conductivity w.r.t frequency

../../_images/fig_cumu_mfp6893.png

(b) Spectral and cumulative thermal conductivity w.r.t MFP

Force constants

../../_images/fig_fc215639.png

(a) Force constants w.r.t atomic distance

Summary

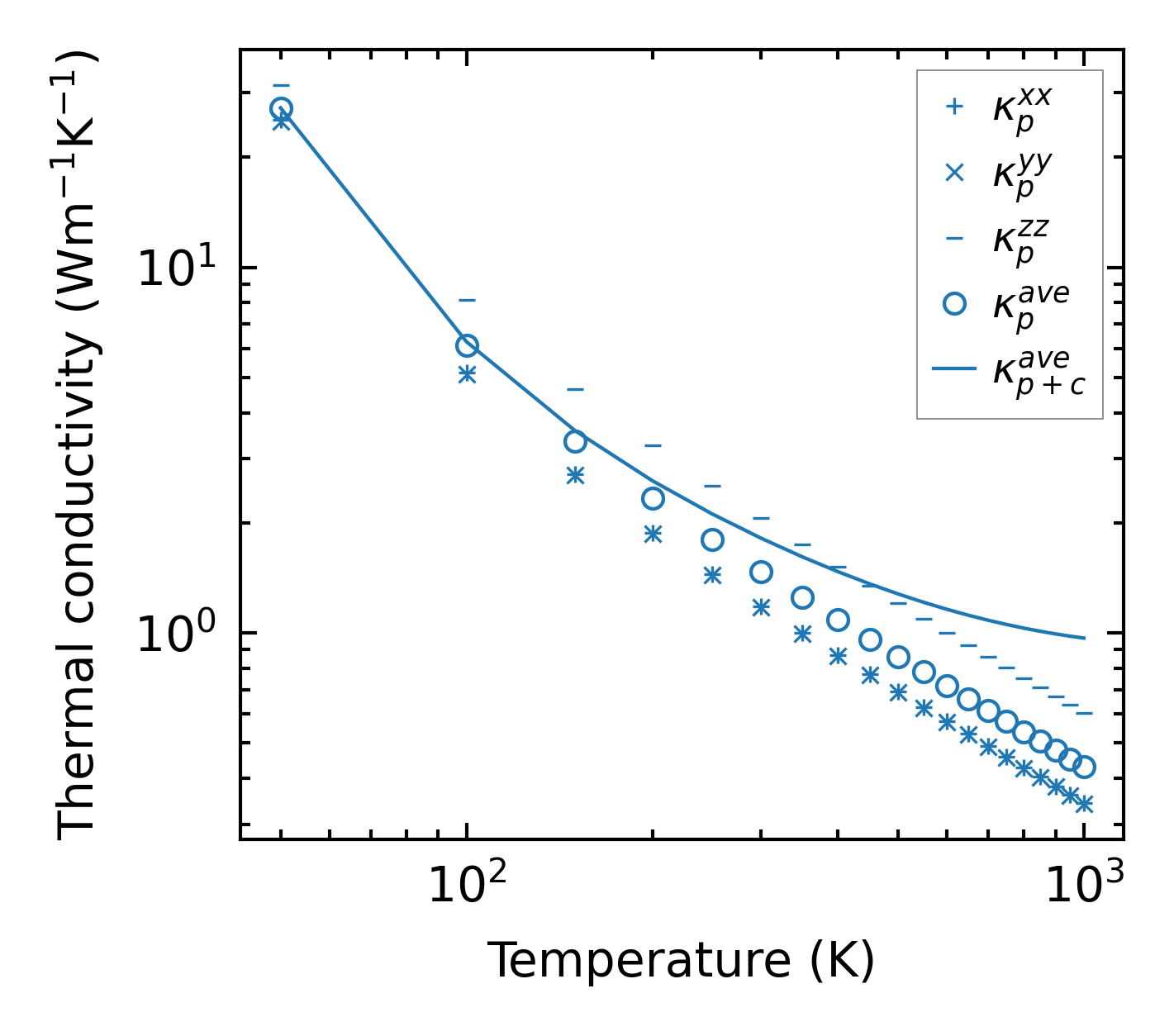
../../_images/fig_kappa13102.png

(a) Temperature-dependent lattice thermal conductivity

../../_images/fig_times26401.png

(b) Computation time