mp-1191034/NaCdSbS3/anharm

Equation of state

../../_images/fig_bm7710.png

(a) Equation of state

Harmonic properties

../../_images/fig_bandos_pr16047.png

(a) Phonon dispersion with participation ratio and DOS

../../_images/fig_bandos20464.png

(b) Phonon dispersion and DOS

../../_images/fig_thermo16046.png

(c) Thermodynamic properties

Grüneisen parameters

../../_images/fig_gru_all6962.png

(a) Grüneisen parameters

../../_images/fig_gruneisen6962.png

(b) Phonon dispersion with Grüneisen parameters

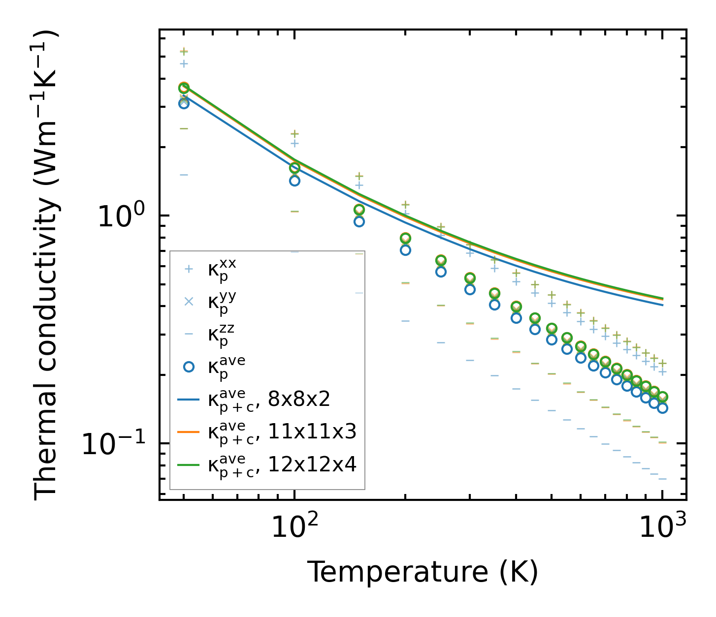
Thermal conductivity

3-phonon (LASSO) — q-mesh: 12x12x4, supercell: 2x1x1

../../_images/fig_kappa13104.png

(a) Temperature-dependent lattice thermal conductivity

../../_images/fig_kappa_vs_grain_size7043.png

(b) Peierls lattice thermal conductivity w.r.t grain size

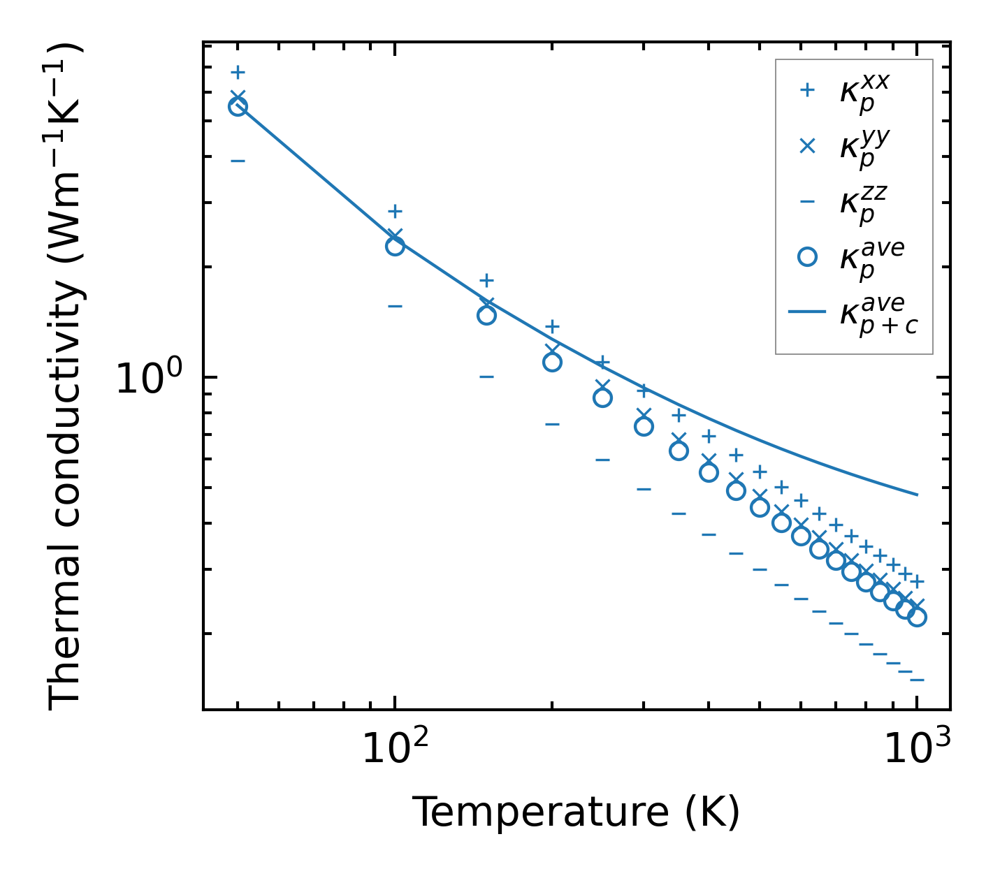
3-phonon (LASSO), supercell 2x2x1 — q-mesh: 12x12x4, supercell: 2x2x1

../../_images/fig_kappa13105.png

(a) Temperature-dependent lattice thermal conductivity

../../_images/fig_kappa_vs_grain_size7044.png

(b) Peierls lattice thermal conductivity w.r.t grain size

Phonon lifetime and scattering rates

../../_images/fig_lifetime6896.png

(a) Phonon lifetime due to phonon-phonon scattering

../../_images/fig_scat_rates6895.png

(b) Phonon scattering rates

Cumulative and spectral thermal conductivity

../../_images/fig_cumu_frequency6896.png

(a) Spectral and cumulative thermal conductivity w.r.t frequency

../../_images/fig_cumu_mfp6895.png

(b) Spectral and cumulative thermal conductivity w.r.t MFP

Force constants

../../_images/fig_fc215642.png

(a) Force constants w.r.t atomic distance

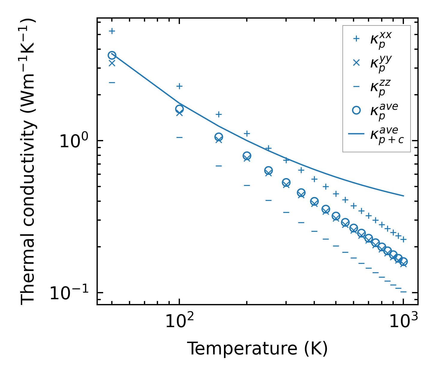
Summary

../../_images/fig_kappa13106.png

(a) Temperature-dependent lattice thermal conductivity

../../_images/fig_times26407.png

(b) Computation time