mp-1191100/K2Zn5As4/anharm

Harmonic properties

../../_images/fig_bandos_pr16053.png

(a) Phonon dispersion with participation ratio and DOS

../../_images/fig_thermo16052.png

(b) Thermodynamic properties

Grüneisen parameters

../../_images/fig_gru_all6965.png

(a) Grüneisen parameters

../../_images/fig_gruneisen6965.png

(b) Phonon dispersion with Grüneisen parameters

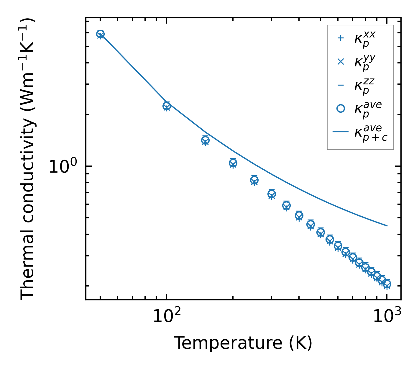
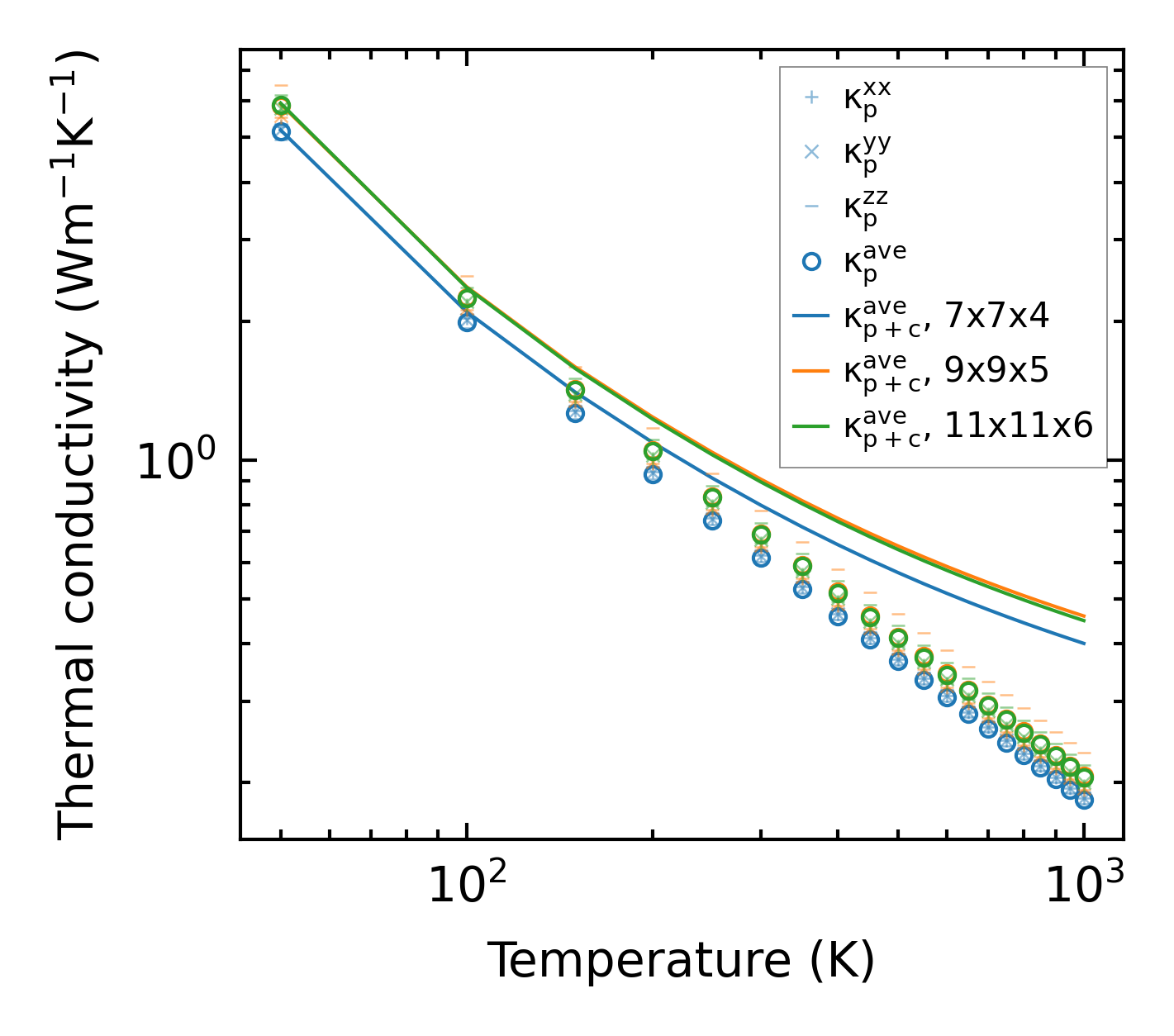
Thermal conductivity

3-phonon (LASSO) — q-mesh: 11x11x6, supercell: 1x2x1

../../_images/fig_kappa13111.png

(a) Temperature-dependent lattice thermal conductivity

../../_images/fig_kappa_vs_grain_size7047.png

(b) Peierls lattice thermal conductivity w.r.t grain size

Phonon lifetime and scattering rates

../../_images/fig_lifetime6899.png

(a) Phonon lifetime due to phonon-phonon scattering

../../_images/fig_scat_rates6898.png

(b) Phonon scattering rates

Cumulative and spectral thermal conductivity

../../_images/fig_cumu_frequency6899.png

(a) Spectral and cumulative thermal conductivity w.r.t frequency

../../_images/fig_cumu_mfp6898.png

(b) Spectral and cumulative thermal conductivity w.r.t MFP

Force constants

../../_images/fig_fc215648.png

(a) Force constants w.r.t atomic distance

Summary

../../_images/fig_kappa13112.png

(a) Temperature-dependent lattice thermal conductivity

../../_images/fig_times26413.png

(b) Computation time