mp-1191026-2/YPS/anharm

Equation of state

../../_images/fig_bm7709.png

(a) Equation of state

Harmonic properties

../../_images/fig_bandos_pr16046.png

(a) Phonon dispersion with participation ratio and DOS

../../_images/fig_bandos20463.png

(b) Phonon dispersion and DOS

../../_images/fig_thermo16045.png

(c) Thermodynamic properties

Grüneisen parameters

../../_images/fig_gru_all6961.png

(a) Grüneisen parameters

../../_images/fig_gruneisen6961.png

(b) Phonon dispersion with Grüneisen parameters

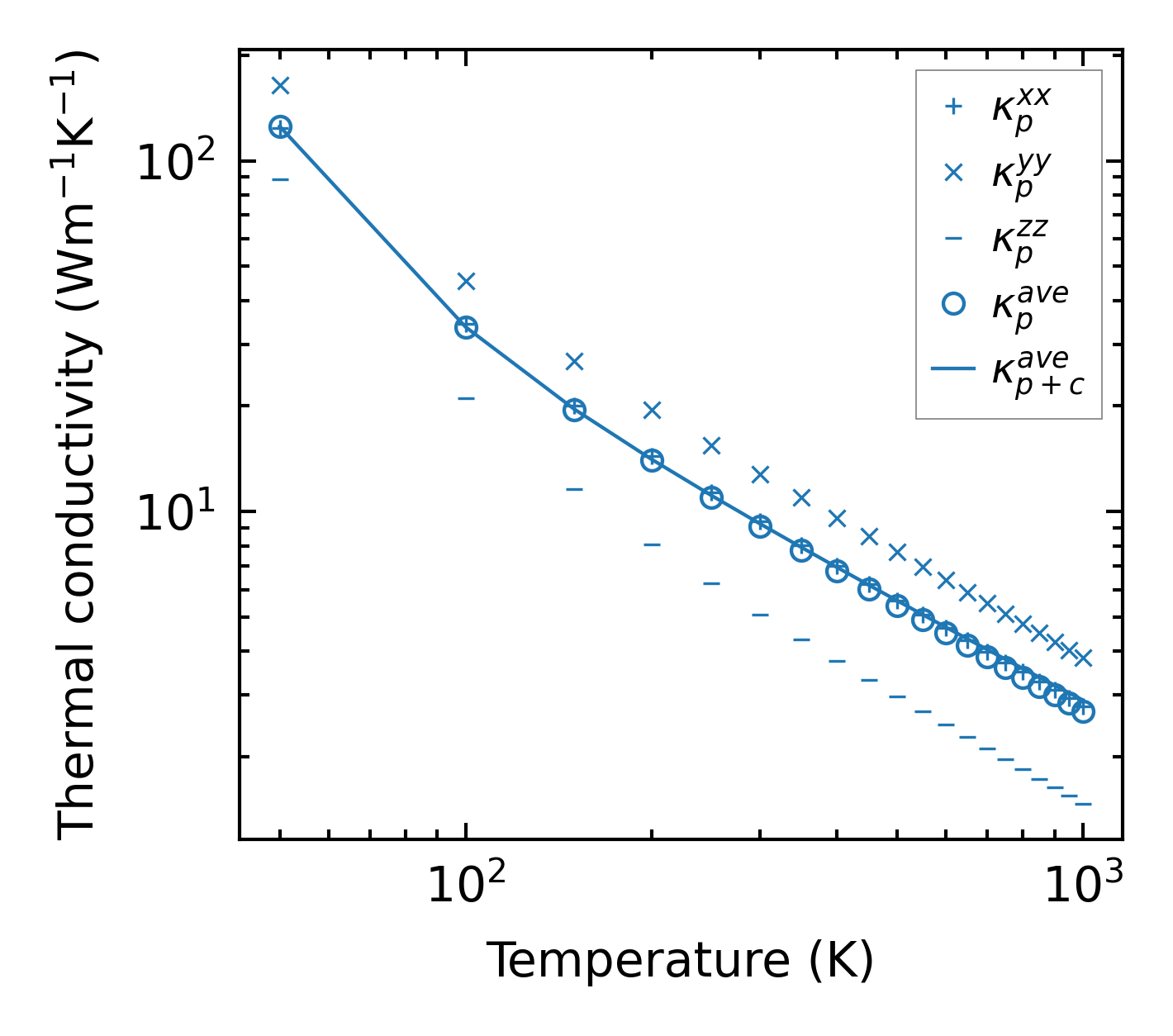
Thermal conductivity

3-phonon (LASSO), supercell 3x3x1 — q-mesh: 13x13x4, supercell: 3x3x1

../../_images/fig_kappa13103.png

(a) Temperature-dependent lattice thermal conductivity

../../_images/fig_kappa_vs_grain_size7042.png

(b) Peierls lattice thermal conductivity w.r.t grain size

Phonon lifetime and scattering rates

../../_images/fig_lifetime6895.png

(a) Phonon lifetime due to phonon-phonon scattering

../../_images/fig_scat_rates6894.png

(b) Phonon scattering rates

Cumulative and spectral thermal conductivity

../../_images/fig_cumu_frequency6895.png

(a) Spectral and cumulative thermal conductivity w.r.t frequency

../../_images/fig_cumu_mfp6894.png

(b) Spectral and cumulative thermal conductivity w.r.t MFP

Force constants

../../_images/fig_fc215641.png

(a) Force constants w.r.t atomic distance

Summary

../../_images/fig_times26406.png

(a) Computation time