mp-1191034-2/NaCdSbS3/anharm

Harmonic properties

../../_images/fig_bandos_pr16048.png

(a) Phonon dispersion with participation ratio and DOS

../../_images/fig_bandos20465.png

(b) Phonon dispersion and DOS

../../_images/fig_thermo16047.png

(c) Thermodynamic properties

Grüneisen parameters

../../_images/fig_gru_all6963.png

(a) Grüneisen parameters

../../_images/fig_gruneisen6963.png

(b) Phonon dispersion with Grüneisen parameters

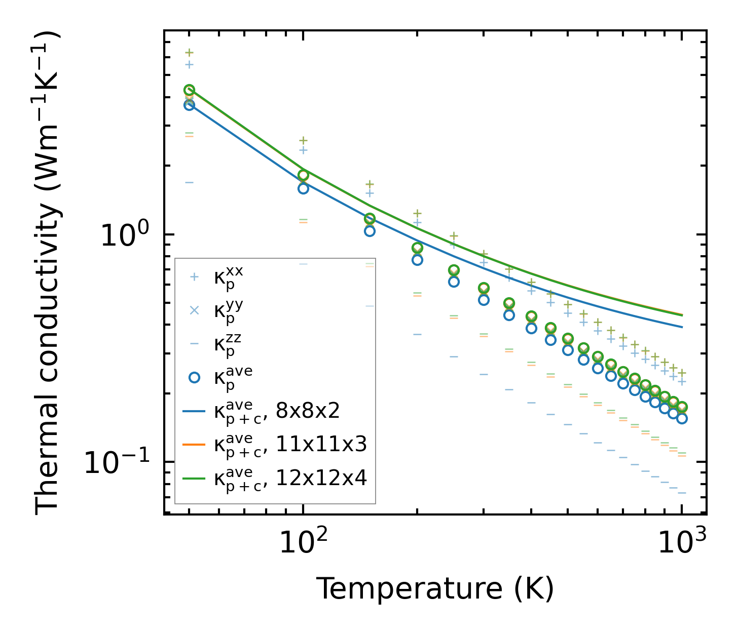
Thermal conductivity

3-phonon (LASSO) — q-mesh: 12x12x4, supercell: 2x1x1

../../_images/fig_kappa13107.png

(a) Temperature-dependent lattice thermal conductivity

../../_images/fig_kappa_vs_grain_size7045.png

(b) Peierls lattice thermal conductivity w.r.t grain size

Phonon lifetime and scattering rates

../../_images/fig_lifetime6897.png

(a) Phonon lifetime due to phonon-phonon scattering

../../_images/fig_scat_rates6896.png

(b) Phonon scattering rates

Cumulative and spectral thermal conductivity

../../_images/fig_cumu_frequency6897.png

(a) Spectral and cumulative thermal conductivity w.r.t frequency

../../_images/fig_cumu_mfp6896.png

(b) Spectral and cumulative thermal conductivity w.r.t MFP

Force constants

../../_images/fig_fc215643.png

(a) Force constants w.r.t atomic distance

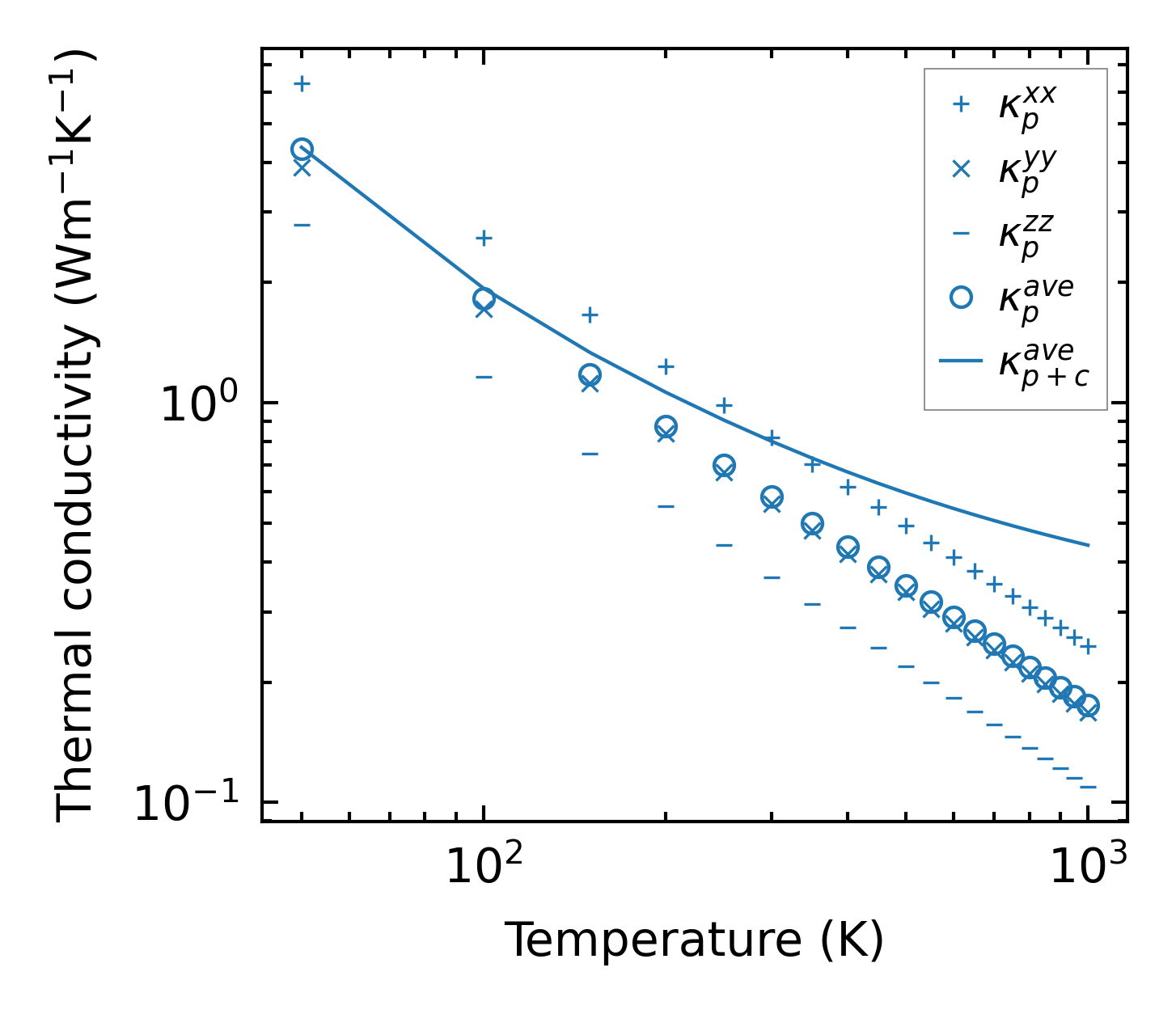
Summary

../../_images/fig_kappa13108.png

(a) Temperature-dependent lattice thermal conductivity

../../_images/fig_times26408.png

(b) Computation time