mp-1191911/Dy3AlFeS7/harm

Harmonic properties

../../_images/fig_bandos_pr15755.png

(a) Phonon dispersion with participation ratio and DOS

../../_images/fig_bandos20117.png

(b) Phonon dispersion and DOS

../../_images/fig_thermo15754.png

(c) Thermodynamic properties

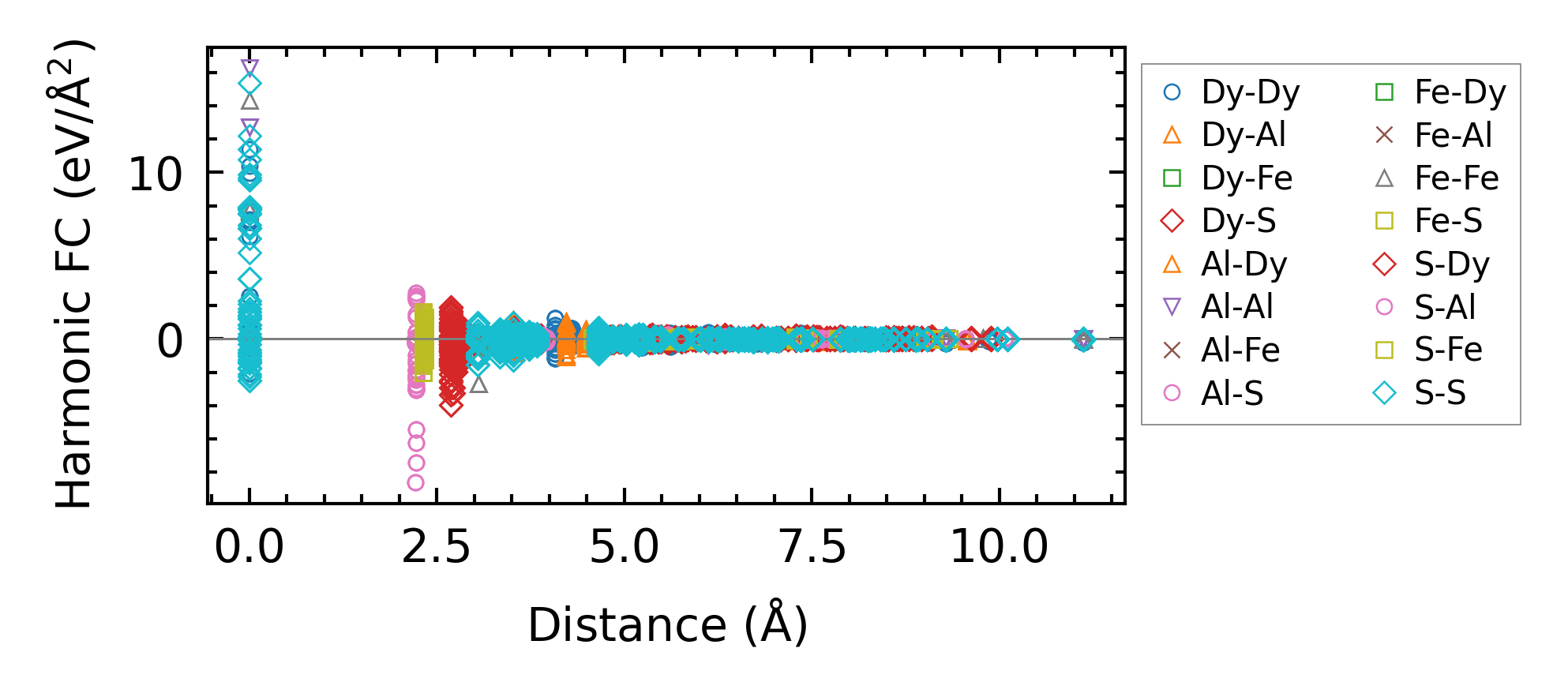
Force constants

../../_images/fig_fc215350.png

(a) Force constants w.r.t atomic distance

Summary

../../_images/fig_times25948.png

(a) Computation time