mp-1191962/CdIClO3/anharm

Equation of state

../../_images/fig_bm7680.png

(a) Equation of state

Harmonic properties

../../_images/fig_bandos_pr15759.png

(a) Phonon dispersion with participation ratio and DOS

../../_images/fig_bandos20119.png

(b) Phonon dispersion and DOS

../../_images/fig_thermo15758.png

(c) Thermodynamic properties

Grüneisen parameters

../../_images/fig_gru_all6827.png

(a) Grüneisen parameters

../../_images/fig_gruneisen6827.png

(b) Phonon dispersion with Grüneisen parameters

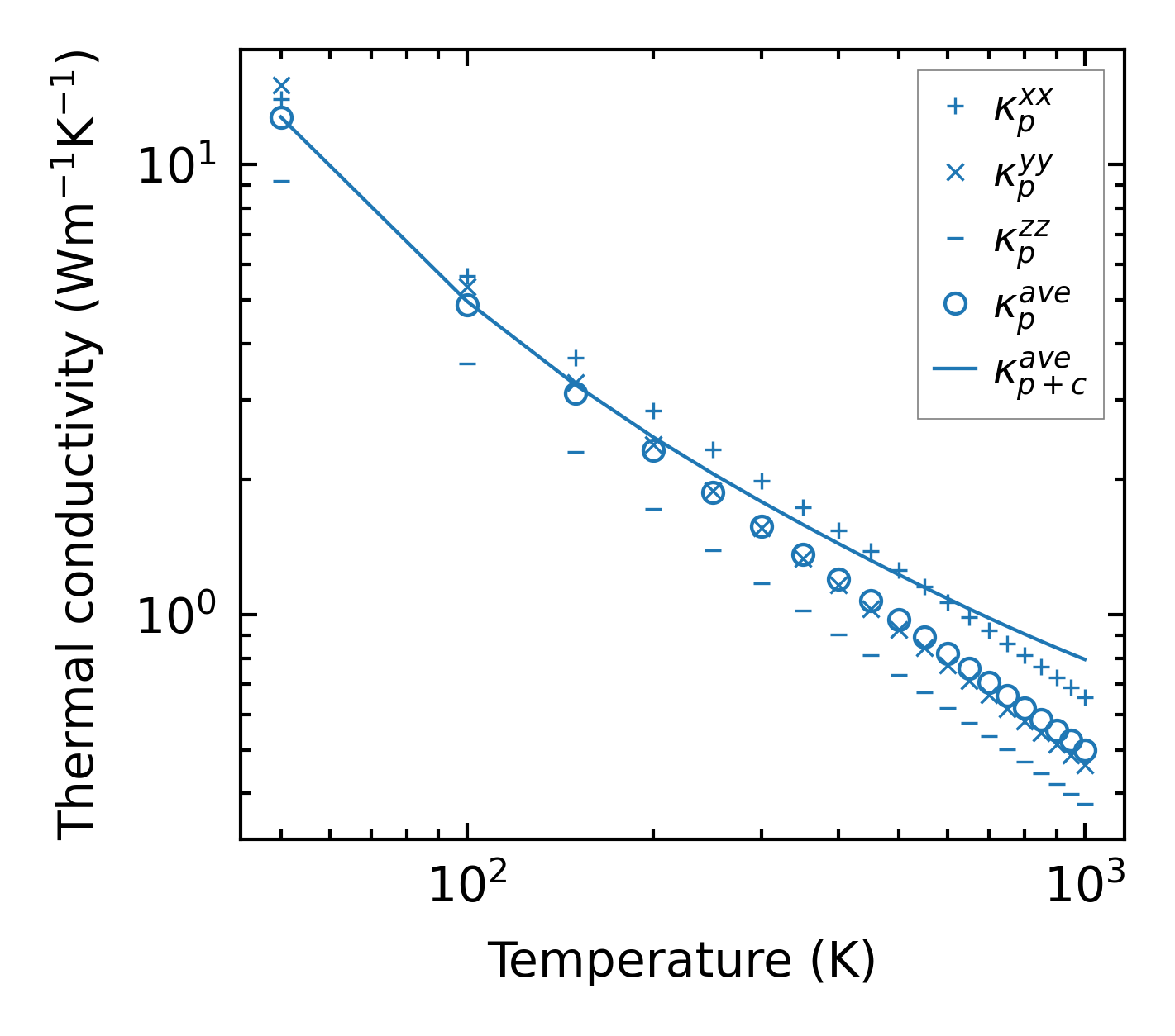
Thermal conductivity

3-phonon (LASSO), supercell 2x1x2 — q-mesh: 9x9x10, supercell: 2x1x2

../../_images/fig_kappa12858.png

(a) Temperature-dependent lattice thermal conductivity

../../_images/fig_kappa_vs_grain_size6907.png

(b) Peierls lattice thermal conductivity w.r.t grain size

Phonon lifetime and scattering rates

../../_images/fig_lifetime6761.png

(a) Phonon lifetime due to phonon-phonon scattering

../../_images/fig_scat_rates6760.png

(b) Phonon scattering rates

Cumulative and spectral thermal conductivity

../../_images/fig_cumu_frequency6761.png

(a) Spectral and cumulative thermal conductivity w.r.t frequency

../../_images/fig_cumu_mfp6760.png

(b) Spectral and cumulative thermal conductivity w.r.t MFP

Force constants

../../_images/fig_fc215354.png

(a) Force constants w.r.t atomic distance

Summary

../../_images/fig_times25953.png

(a) Computation time