mp-1191238/CsSm2Cu3Se5/harm

Harmonic properties

../../_images/fig_bandos_pr16065.png

(a) Phonon dispersion with participation ratio and DOS

../../_images/fig_bandos20481.png

(b) Phonon dispersion and DOS

../../_images/fig_thermo16064.png

(c) Thermodynamic properties

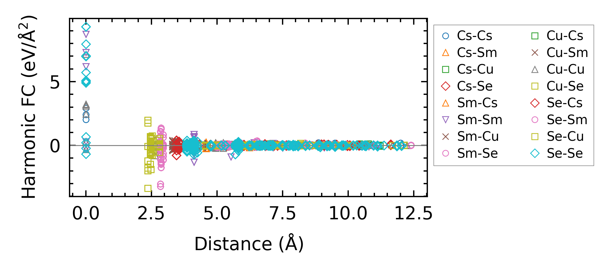
Force constants

../../_images/fig_fc215660.png

(a) Force constants w.r.t atomic distance

Summary

../../_images/fig_times26427.png

(a) Computation time