mp-1020717/Zn2SiO4/anharm

Harmonic properties

../../_images/fig_bandos_pr132.png

(a) Phonon dispersion with participation ratio and DOS

../../_images/fig_thermo132.png

(b) Thermodynamic properties

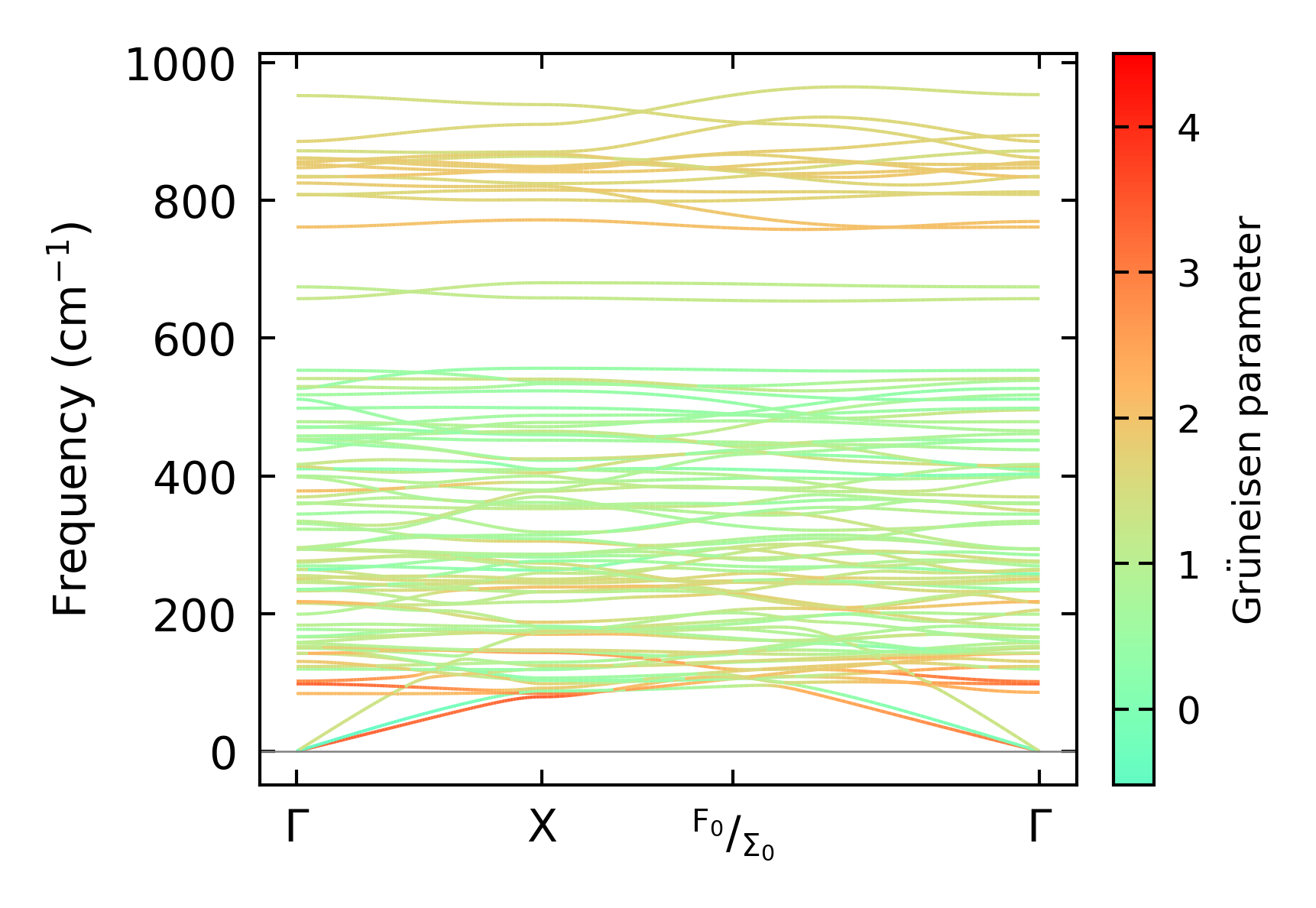
Grüneisen parameters

../../_images/fig_gru_all74.png

(a) Grüneisen parameters

../../_images/fig_gruneisen74.png

(b) Phonon dispersion with Grüneisen parameters

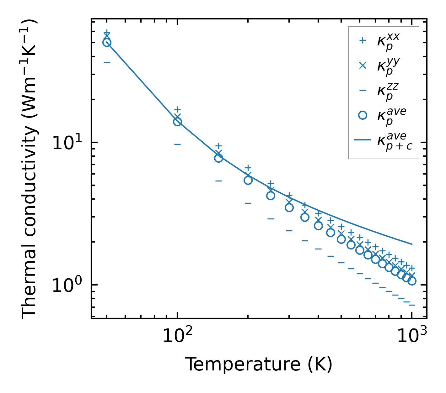
Thermal conductivity

3-phonon (LASSO) — q-mesh: 11x11x11, supercell: 2x1x1

../../_images/fig_kappa143.png

(a) Temperature-dependent lattice thermal conductivity

../../_images/fig_kappa_vs_grain_size76.png

(b) Peierls lattice thermal conductivity w.r.t grain size

Phonon lifetime and scattering rates

../../_images/fig_lifetime74.png

(a) Phonon lifetime due to phonon-phonon scattering

../../_images/fig_scat_rates74.png

(b) Phonon scattering rates

Cumulative and spectral thermal conductivity

../../_images/fig_cumu_frequency74.png

(a) Spectral and cumulative thermal conductivity w.r.t frequency

../../_images/fig_cumu_mfp74.png

(b) Spectral and cumulative thermal conductivity w.r.t MFP

Force constants

../../_images/fig_fc2131.png

(a) Force constants w.r.t atomic distance

Summary

../../_images/fig_kappa144.png

(a) Temperature-dependent lattice thermal conductivity

../../_images/fig_times229.png

(b) Computation time