mp-1020613-2/Rb5GaO4/anharm

Equation of state

../../_images/fig_bm14.png

(a) Equation of state

Harmonic properties

../../_images/fig_bandos_pr106.png

(a) Phonon dispersion with participation ratio and DOS

../../_images/fig_bandos122.png

(b) Phonon dispersion and DOS

../../_images/fig_thermo106.png

(c) Thermodynamic properties

Grüneisen parameters

../../_images/fig_gru_all65.png

(a) Grüneisen parameters

../../_images/fig_gruneisen65.png

(b) Phonon dispersion with Grüneisen parameters

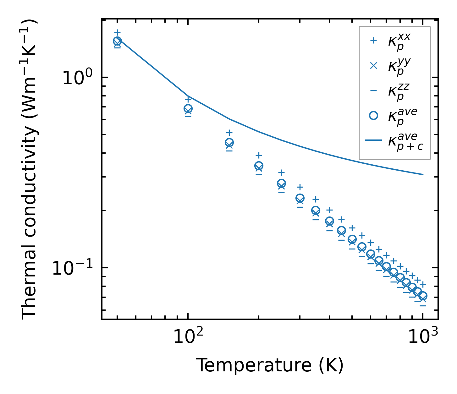
Thermal conductivity

3-phonon (LASSO), supercell 2x1x1 — q-mesh: 10x3x6, supercell: 2x1x1

../../_images/fig_kappa128.png

(a) Temperature-dependent lattice thermal conductivity

../../_images/fig_kappa_vs_grain_size67.png

(b) Peierls lattice thermal conductivity w.r.t grain size

Phonon lifetime and scattering rates

../../_images/fig_lifetime65.png

(a) Phonon lifetime due to phonon-phonon scattering

../../_images/fig_scat_rates65.png

(b) Phonon scattering rates

Cumulative and spectral thermal conductivity

../../_images/fig_cumu_frequency65.png

(a) Spectral and cumulative thermal conductivity w.r.t frequency

../../_images/fig_cumu_mfp65.png

(b) Spectral and cumulative thermal conductivity w.r.t MFP

Force constants

../../_images/fig_fc2105.png

(a) Force constants w.r.t atomic distance

Summary

../../_images/fig_times181.png

(a) Computation time