mp-1020632/RbB3O5/anharm

Harmonic properties

../../_images/fig_bandos_pr116.png

(a) Phonon dispersion with participation ratio and DOS

../../_images/fig_bandos134.png

(b) Phonon dispersion and DOS

../../_images/fig_thermo116.png

(c) Thermodynamic properties

Grüneisen parameters

../../_images/fig_gru_all69.png

(a) Grüneisen parameters

../../_images/fig_gruneisen69.png

(b) Phonon dispersion with Grüneisen parameters

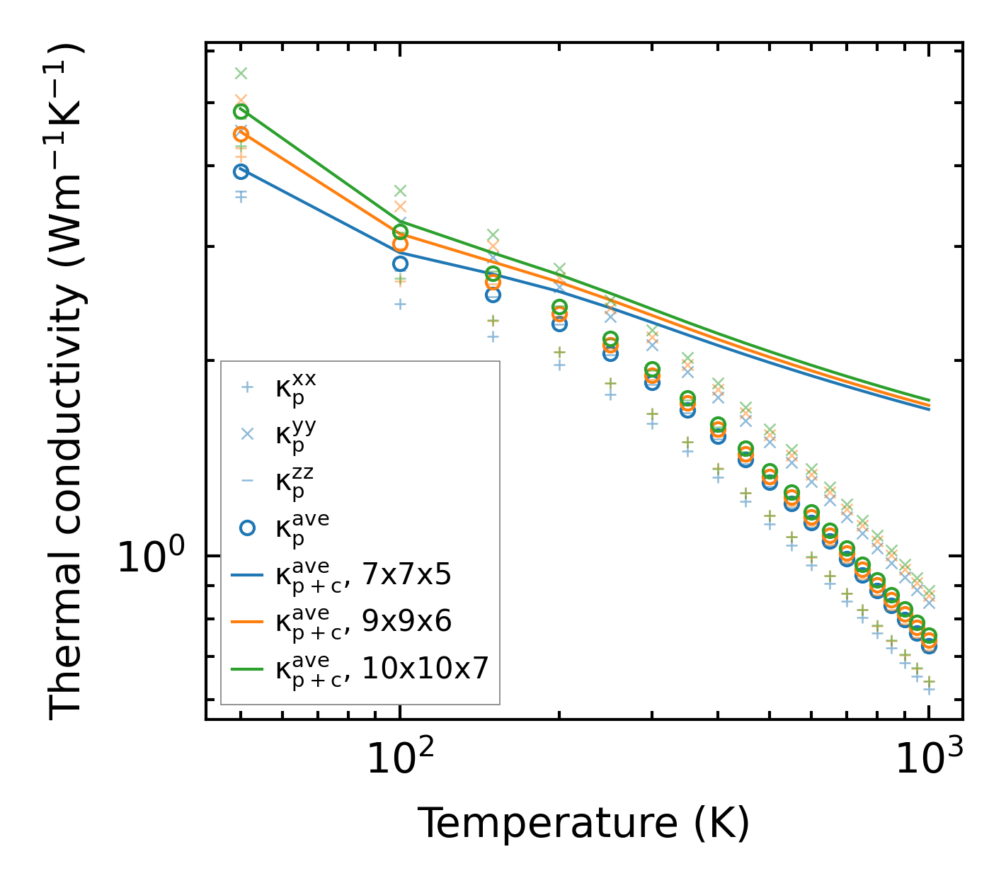
Thermal conductivity

3-phonon (LASSO) — q-mesh: 10x10x7, supercell: 1x2x1

../../_images/fig_kappa135.png

(a) Temperature-dependent lattice thermal conductivity

../../_images/fig_kappa_vs_grain_size71.png

(b) Peierls lattice thermal conductivity w.r.t grain size

Phonon lifetime and scattering rates

../../_images/fig_lifetime69.png

(a) Phonon lifetime due to phonon-phonon scattering

../../_images/fig_scat_rates69.png

(b) Phonon scattering rates

Cumulative and spectral thermal conductivity

../../_images/fig_cumu_frequency69.png

(a) Spectral and cumulative thermal conductivity w.r.t frequency

../../_images/fig_cumu_mfp69.png

(b) Spectral and cumulative thermal conductivity w.r.t MFP

Force constants

../../_images/fig_fc2115.png

(a) Force constants w.r.t atomic distance

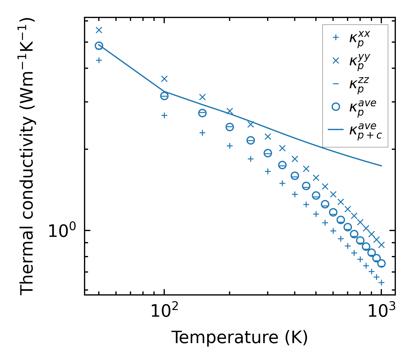
Summary

../../_images/fig_kappa136.png

(a) Temperature-dependent lattice thermal conductivity

../../_images/fig_times196.png

(b) Computation time