mp-1020592-2/Sr4Li2Si4N8O/anharm

Harmonic properties

../../_images/fig_bandos_pr97.png

(a) Phonon dispersion with participation ratio and DOS

../../_images/fig_thermo97.png

(b) Thermodynamic properties

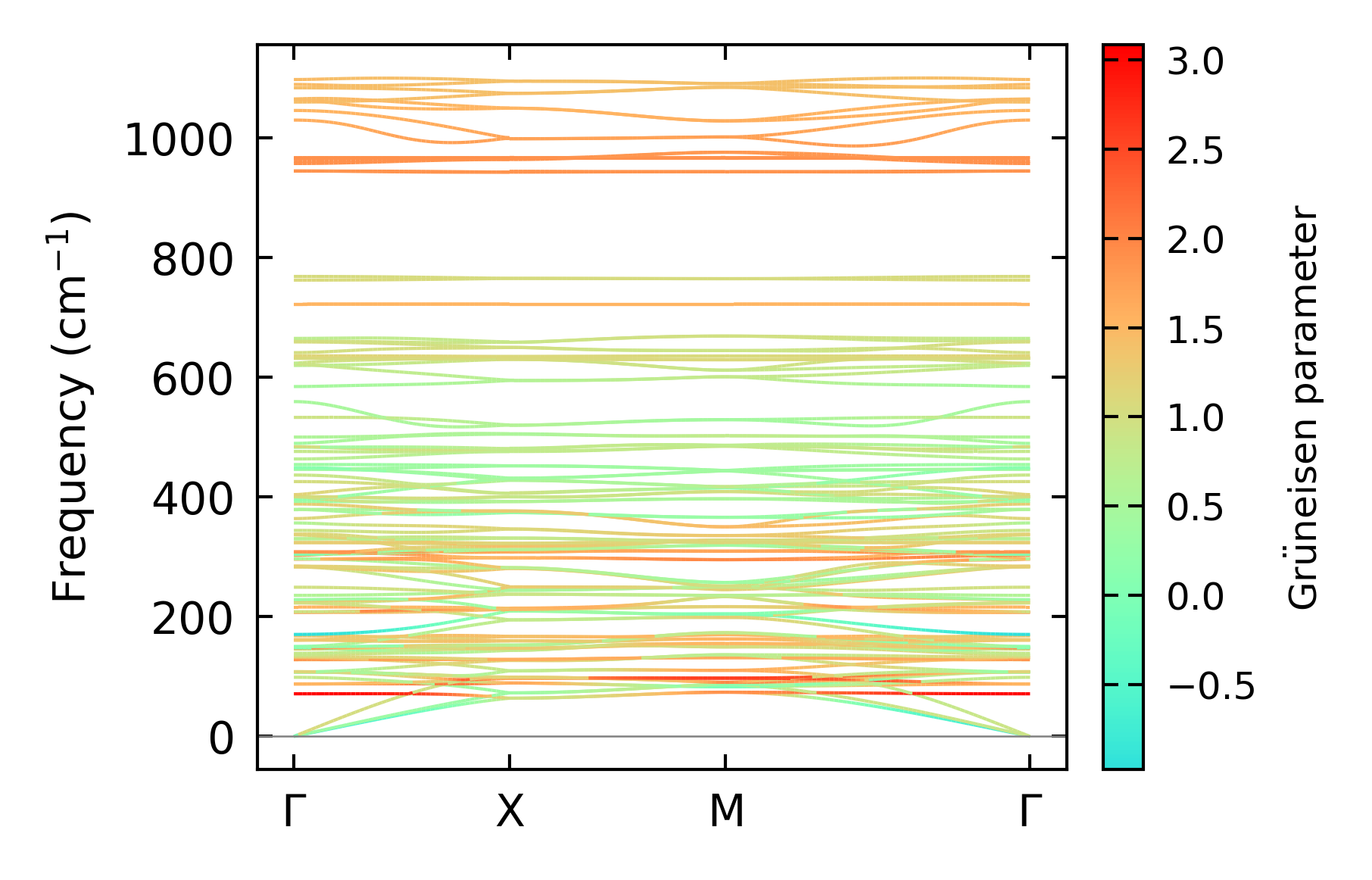
Grüneisen parameters

../../_images/fig_gru_all59.png

(a) Grüneisen parameters

../../_images/fig_gruneisen59.png

(b) Phonon dispersion with Grüneisen parameters

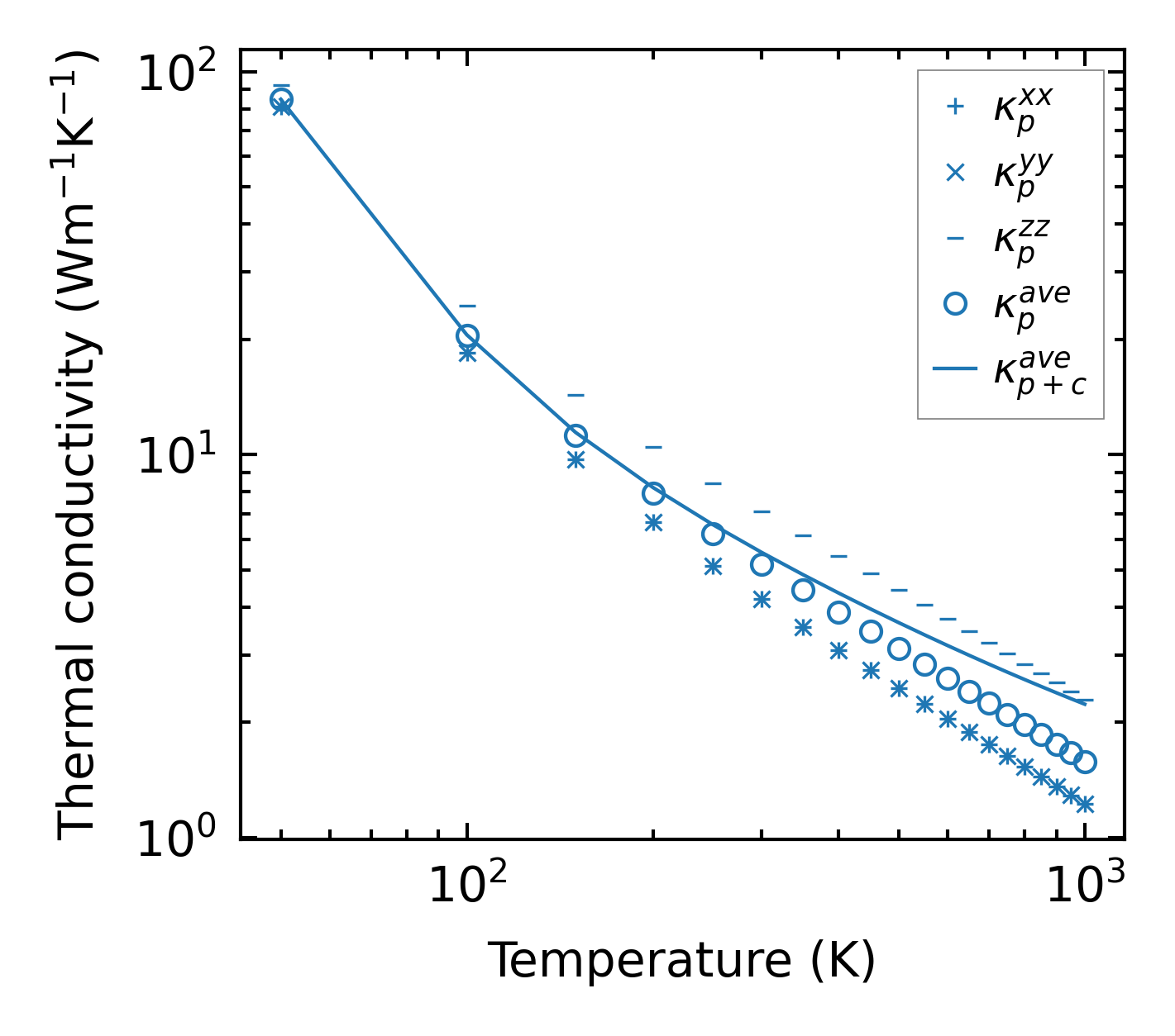
Thermal conductivity

3-phonon (LASSO) — q-mesh: 7x7x12, supercell: 1x1x2

../../_images/fig_kappa116.png

(a) Temperature-dependent lattice thermal conductivity

../../_images/fig_kappa_vs_grain_size61.png

(b) Peierls lattice thermal conductivity w.r.t grain size

Phonon lifetime and scattering rates

../../_images/fig_lifetime59.png

(a) Phonon lifetime due to phonon-phonon scattering

../../_images/fig_scat_rates59.png

(b) Phonon scattering rates

Cumulative and spectral thermal conductivity

../../_images/fig_cumu_frequency59.png

(a) Spectral and cumulative thermal conductivity w.r.t frequency

../../_images/fig_cumu_mfp59.png

(b) Spectral and cumulative thermal conductivity w.r.t MFP

Force constants

../../_images/fig_fc296.png

(a) Force constants w.r.t atomic distance

Summary

../../_images/fig_kappa117.png

(a) Temperature-dependent lattice thermal conductivity

../../_images/fig_times167.png

(b) Computation time