mp-1020631/ZnGeO3/anharm

Harmonic properties

../../_images/fig_bandos_pr114.png

(a) Phonon dispersion with participation ratio and DOS

../../_images/fig_thermo114.png

(b) Thermodynamic properties

Grüneisen parameters

../../_images/fig_gru_all67.png

(a) Grüneisen parameters

../../_images/fig_gruneisen67.png

(b) Phonon dispersion with Grüneisen parameters

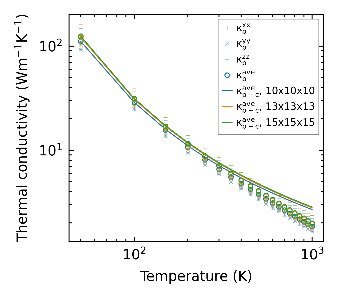
Thermal conductivity

3-phonon (LASSO) — q-mesh: 15x15x15, supercell: 2x2x1

../../_images/fig_kappa131.png

(a) Temperature-dependent lattice thermal conductivity

../../_images/fig_kappa_vs_grain_size69.png

(b) Peierls lattice thermal conductivity w.r.t grain size

Phonon lifetime and scattering rates

../../_images/fig_lifetime67.png

(a) Phonon lifetime due to phonon-phonon scattering

../../_images/fig_scat_rates67.png

(b) Phonon scattering rates

Cumulative and spectral thermal conductivity

../../_images/fig_cumu_frequency67.png

(a) Spectral and cumulative thermal conductivity w.r.t frequency

../../_images/fig_cumu_mfp67.png

(b) Spectral and cumulative thermal conductivity w.r.t MFP

Force constants

../../_images/fig_fc2113.png

(a) Force constants w.r.t atomic distance

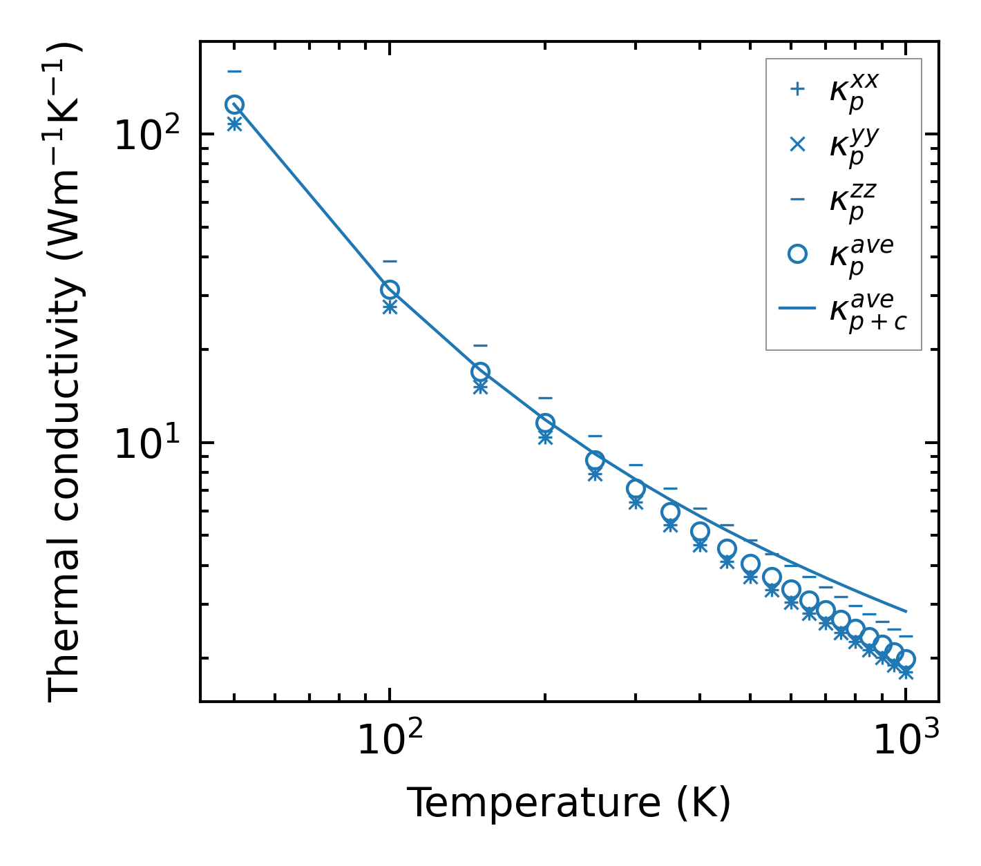
Summary

../../_images/fig_kappa132.png

(a) Temperature-dependent lattice thermal conductivity

../../_images/fig_times194.png

(b) Computation time