mp-1020631-2/ZnGeO3/anharm

Equation of state

../../_images/fig_bm15.png

(a) Equation of state

Harmonic properties

../../_images/fig_bandos_pr115.png

(a) Phonon dispersion with participation ratio and DOS

../../_images/fig_thermo115.png

(b) Thermodynamic properties

Grüneisen parameters

../../_images/fig_gru_all68.png

(a) Grüneisen parameters

../../_images/fig_gruneisen68.png

(b) Phonon dispersion with Grüneisen parameters

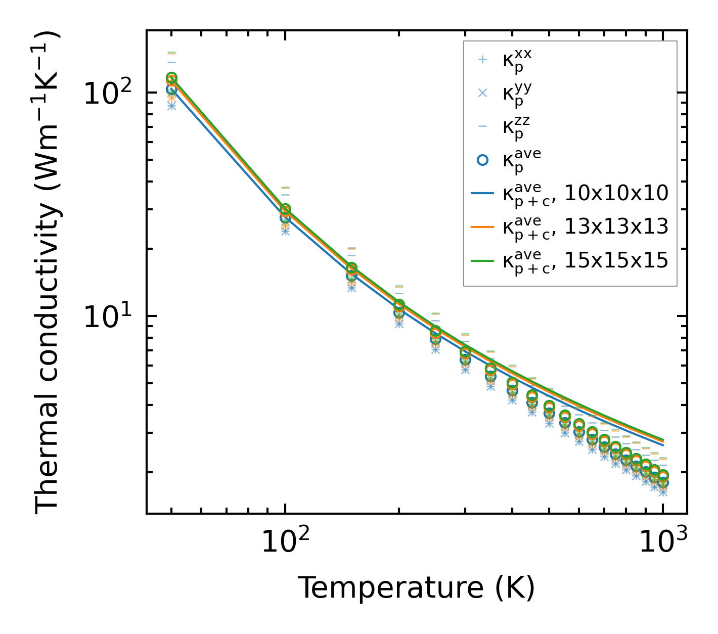
Thermal conductivity

3-phonon (LASSO) — q-mesh: 15x15x15, supercell: 2x2x1

../../_images/fig_kappa133.png

(a) Temperature-dependent lattice thermal conductivity

../../_images/fig_kappa_vs_grain_size70.png

(b) Peierls lattice thermal conductivity w.r.t grain size

Phonon lifetime and scattering rates

../../_images/fig_lifetime68.png

(a) Phonon lifetime due to phonon-phonon scattering

../../_images/fig_scat_rates68.png

(b) Phonon scattering rates

Cumulative and spectral thermal conductivity

../../_images/fig_cumu_frequency68.png

(a) Spectral and cumulative thermal conductivity w.r.t frequency

../../_images/fig_cumu_mfp68.png

(b) Spectral and cumulative thermal conductivity w.r.t MFP

Force constants

../../_images/fig_fc2114.png

(a) Force constants w.r.t atomic distance

Summary

../../_images/fig_kappa134.png

(a) Temperature-dependent lattice thermal conductivity

../../_images/fig_times195.png

(b) Computation time