mp-1020654-2/SrBeB2O5/anharm

Equation of state

../../_images/fig_bm17.png

(a) Equation of state

Harmonic properties

../../_images/fig_bandos_pr122.png

(a) Phonon dispersion with participation ratio and DOS

../../_images/fig_bandos146.png

(b) Phonon dispersion and DOS

../../_images/fig_thermo122.png

(c) Thermodynamic properties

Grüneisen parameters

../../_images/fig_gru_all72.png

(a) Grüneisen parameters

../../_images/fig_gruneisen72.png

(b) Phonon dispersion with Grüneisen parameters

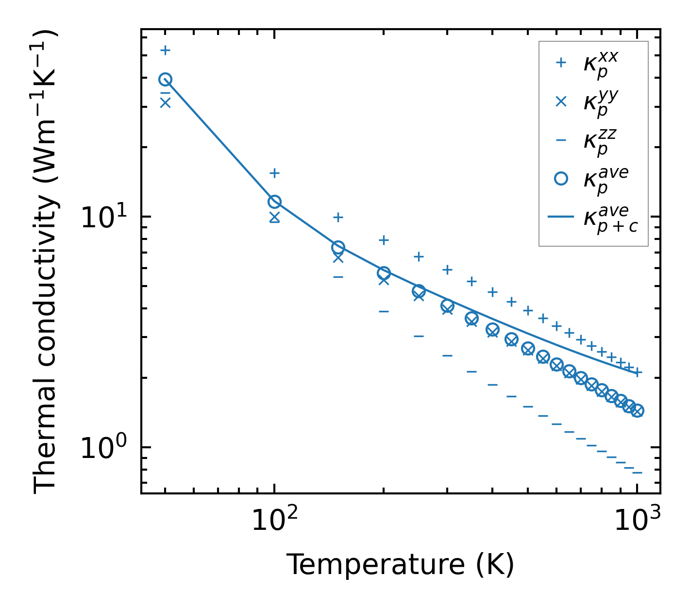
Thermal conductivity

3-phonon (LASSO), supercell 2x3x1 — q-mesh: 13x18x4, supercell: 2x3x1

../../_images/fig_kappa140.png

(a) Temperature-dependent lattice thermal conductivity

../../_images/fig_kappa_vs_grain_size74.png

(b) Peierls lattice thermal conductivity w.r.t grain size

Phonon lifetime and scattering rates

../../_images/fig_lifetime72.png

(a) Phonon lifetime due to phonon-phonon scattering

../../_images/fig_scat_rates72.png

(b) Phonon scattering rates

Cumulative and spectral thermal conductivity

../../_images/fig_cumu_frequency72.png

(a) Spectral and cumulative thermal conductivity w.r.t frequency

../../_images/fig_cumu_mfp72.png

(b) Spectral and cumulative thermal conductivity w.r.t MFP

Force constants

../../_images/fig_fc2121.png

(a) Force constants w.r.t atomic distance

Summary

../../_images/fig_times209.png

(a) Computation time