mp-1020027/Li4P2O7/anharm

Equation of state

../../_images/fig_bm10.png

(a) Equation of state

Harmonic properties

../../_images/fig_bandos_pr73.png

(a) Phonon dispersion with participation ratio and DOS

../../_images/fig_thermo73.png

(b) Thermodynamic properties

Grüneisen parameters

../../_images/fig_gru_all50.png

(a) Grüneisen parameters

../../_images/fig_gruneisen50.png

(b) Phonon dispersion with Grüneisen parameters

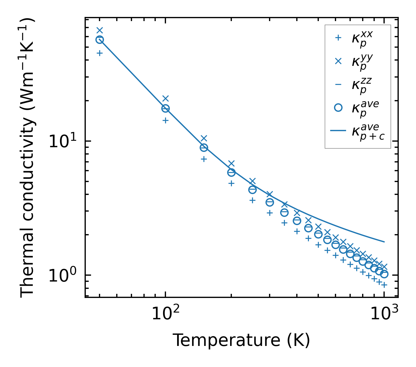
Thermal conductivity

3-phonon (LASSO) — q-mesh: 8x14x5, supercell: 1x2x1

../../_images/fig_kappa98.png

(a) Temperature-dependent lattice thermal conductivity

../../_images/fig_kappa_vs_grain_size52.png

(b) Peierls lattice thermal conductivity w.r.t grain size

Phonon lifetime and scattering rates

../../_images/fig_lifetime50.png

(a) Phonon lifetime due to phonon-phonon scattering

../../_images/fig_scat_rates50.png

(b) Phonon scattering rates

Cumulative and spectral thermal conductivity

../../_images/fig_cumu_frequency50.png

(a) Spectral and cumulative thermal conductivity w.r.t frequency

../../_images/fig_cumu_mfp50.png

(b) Spectral and cumulative thermal conductivity w.r.t MFP

Force constants

../../_images/fig_fc272.png

(a) Force constants w.r.t atomic distance

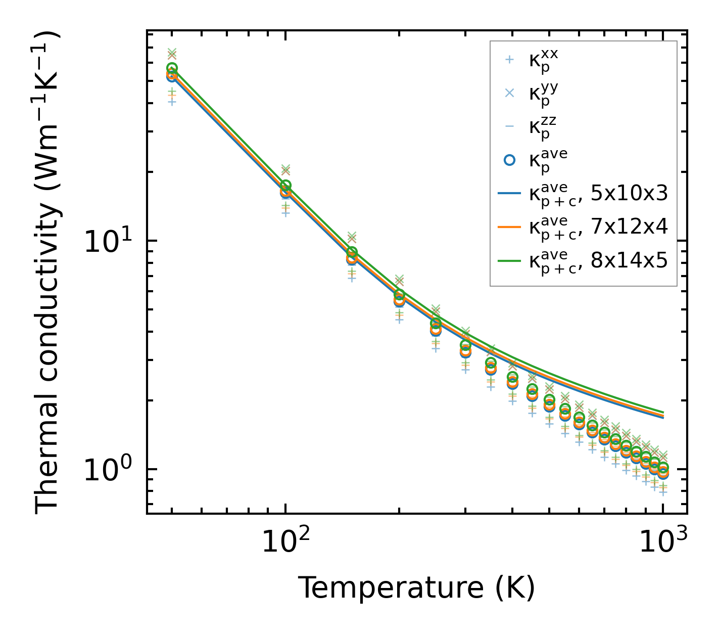
Summary

../../_images/fig_kappa99.png

(a) Temperature-dependent lattice thermal conductivity

../../_images/fig_times129.png

(b) Computation time