mp-1020163/Na3Li2AlSi2O8/anharm

Harmonic properties

../../_images/fig_bandos_pr92.png

(a) Phonon dispersion with participation ratio and DOS

../../_images/fig_thermo92.png

(b) Thermodynamic properties

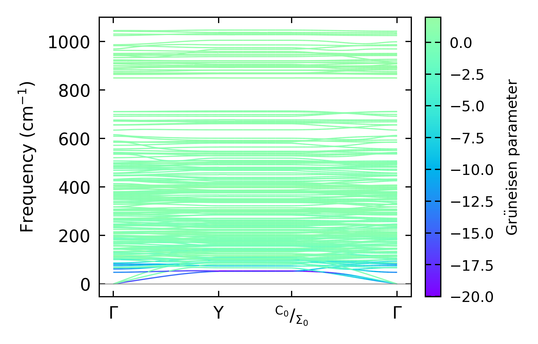
Grüneisen parameters

../../_images/fig_gru_all56.png

(a) Grüneisen parameters

../../_images/fig_gruneisen56.png

(b) Phonon dispersion with Grüneisen parameters

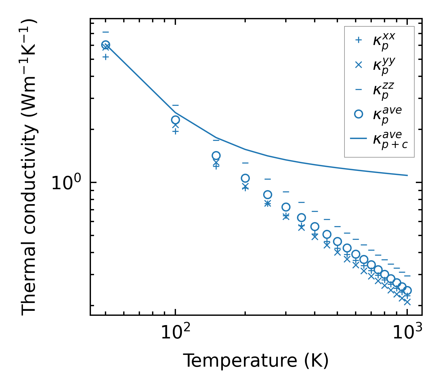
Thermal conductivity

3-phonon (LASSO) — q-mesh: 7x7x10, supercell: 1x1x1

../../_images/fig_kappa110.png

(a) Temperature-dependent lattice thermal conductivity

../../_images/fig_kappa_vs_grain_size58.png

(b) Peierls lattice thermal conductivity w.r.t grain size

Phonon lifetime and scattering rates

../../_images/fig_lifetime56.png

(a) Phonon lifetime due to phonon-phonon scattering

../../_images/fig_scat_rates56.png

(b) Phonon scattering rates

Cumulative and spectral thermal conductivity

../../_images/fig_cumu_frequency56.png

(a) Spectral and cumulative thermal conductivity w.r.t frequency

../../_images/fig_cumu_mfp56.png

(b) Spectral and cumulative thermal conductivity w.r.t MFP

Force constants

../../_images/fig_fc291.png

(a) Force constants w.r.t atomic distance

Summary

../../_images/fig_kappa111.png

(a) Temperature-dependent lattice thermal conductivity

../../_images/fig_times157.png

(b) Computation time