mp-1020161/Na3Al2P3O12/anharm

Harmonic properties

../../_images/fig_bandos_pr90.png

(a) Phonon dispersion with participation ratio and DOS

../../_images/fig_thermo90.png

(b) Thermodynamic properties

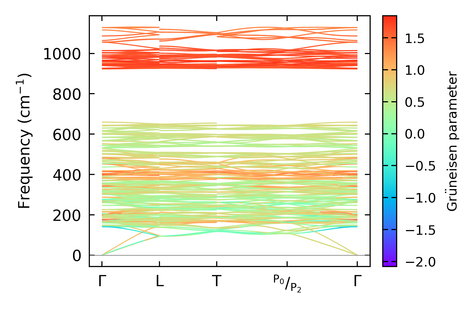
Grüneisen parameters

../../_images/fig_gru_all55.png

(a) Grüneisen parameters

../../_images/fig_gruneisen55.png

(b) Phonon dispersion with Grüneisen parameters

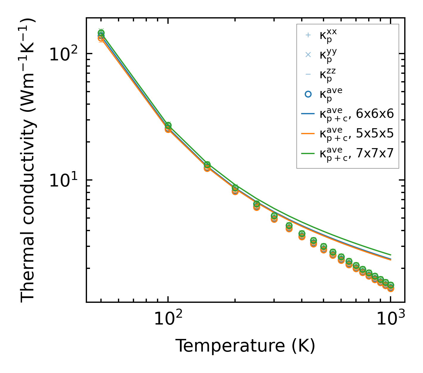
Thermal conductivity

3-phonon (LASSO) — q-mesh: 7x7x7, supercell: 1x1x1

../../_images/fig_kappa108.png

(a) Temperature-dependent lattice thermal conductivity

../../_images/fig_kappa_vs_grain_size57.png

(b) Peierls lattice thermal conductivity w.r.t grain size

Phonon lifetime and scattering rates

../../_images/fig_lifetime55.png

(a) Phonon lifetime due to phonon-phonon scattering

../../_images/fig_scat_rates55.png

(b) Phonon scattering rates

Cumulative and spectral thermal conductivity

../../_images/fig_cumu_frequency55.png

(a) Spectral and cumulative thermal conductivity w.r.t frequency

../../_images/fig_cumu_mfp55.png

(b) Spectral and cumulative thermal conductivity w.r.t MFP

Force constants

../../_images/fig_fc289.png

(a) Force constants w.r.t atomic distance

Summary

../../_images/fig_kappa109.png

(a) Temperature-dependent lattice thermal conductivity

../../_images/fig_times155.png

(b) Computation time